You are now in:
BASTI Home /
Alpha Enhanced (F05) Models /
Non Canonical Models /
List of
metallicities / Z=0.0006
|
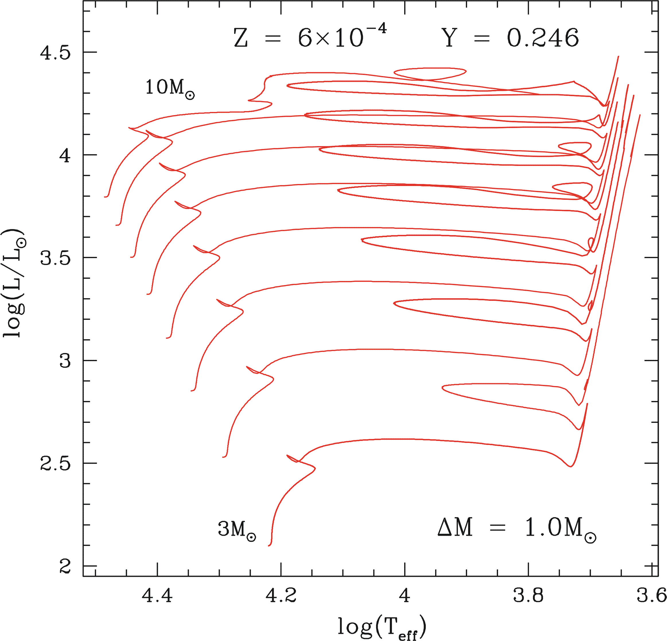
Y= 0.246, Z = 0.0006 - Evolutionary models |
|
| ||||||||||||||
| TABLE by PIETRINFERNI A. - CASSISI S. - SALARIS M. - CASTELLI F. - 2007 non canonical alpha-enhanced Z= .0006 Y= .2460 | |||||||||||||||||||
| ZAMS | end central H | Tip RGB | ZAHB | end central He | first THERMAL PULSE | ||||||||||||||
| M | log(L) | log(Te) | Mcc | Mc_He | t_Hb | log(L) | log(Te) | He_sur | Age | Mc_He | Mcc | Mc_He | Mc_CO | t_Heb | Mc_CO | Mc_He | log(L) | log(Te) | Age |
| 1.1000 | .4076 | 3.8796 | .0459 | .1324 | 3773.70 | 3.3325 | 3.6262 | .2660 | 4099.15 | .4866 | .1238 | .5275 | .1766 | 83.89 | .5120 | .5400 | 3.5333 | 3.6114 | 4218.14 |
| 1.2000 | .5724 | 3.9168 | .0646 | .1415 | 2776.48 | 3.3242 | 3.6309 | .2670 | 3035.81 | .4846 | .1219 | .5334 | .1796 | 84.23 | .5186 | .5482 | 3.4902 | 3.6188 | 3151.81 |
| 1.3000 | .7211 | 3.9510 | .0820 | .1499 | 2092.15 | 3.3201 | 3.6350 | .2670 | 2317.16 | .4838 | .1242 | .5401 | .1784 | 81.93 | .5257 | .5526 | 3.4497 | 3.6264 | 2429.32 |
| 1.5000 | .9800 | 4.0103 | .1255 | .1683 | 1299.47 | 3.3133 | 3.6421 | .2650 | 1471.16 | .4824 | .1229 | .5538 | .1829 | 79.75 | .5425 | .5667 | 3.5302 | 3.6271 | 1576.65 |
| 1.7000 | 1.1990 | 4.0597 | .1837 | .2002 | 981.14 | 3.0821 | 3.6625 | .2640 | 1038.28 | .4424 | .1128 | .5499 | .2242 | 95.45 | .5390 | .5638 | 3.5238 | 3.6342 | 1154.22 |
| 1.9000 | 1.3859 | 4.1009 | .2557 | .2308 | 742.10 | 2.4350 | 3.7026 | .2630 | 758.12 | .3365 | .0521 | .5527 | .1791 | 146.73 | .5408 | .5654 | 3.5154 | 3.6398 | 919.83 |
| 2.1000 | 1.5482 | 4.1345 | .3388 | .2586 | 579.93 | 2.4377 | 3.7064 | .2590 | 589.74 | .3541 | .0779 | .6005 | .1950 | 104.84 | .5961 | .6141 | 3.7360 | 3.6279 | 704.53 |
| 2.3000 | 1.6914 | 4.1623 | .4259 | .2909 | 466.22 | 2.5035 | 3.7068 | .2540 | 472.80 | .3796 | .0868 | .6541 | .2691 | 78.06 | .6547 | .6676 | 3.8409 | 3.6243 | 557.76 |
| 2.5000 | 1.8201 | 4.1853 | .5149 | .3082 | 382.68 | 2.5831 | 3.7062 | .2510 | 387.53 | .4095 | .0952 | .7125 | .2721 | 60.53 | .7047 | .7169 | 3.9620 | 3.6199 | 453.15 |
| M | Stellar mass | (solar units) |
| L | Surface luminosity | (solar units) |
| Te | Effective temperature | (Kelvin) |
| Mcc | Mass of convective core | (solar units) |
| Mc_He | Mass of He-core | (solar units) |
| t_Hb | Central H-burning lifetime | (10^6 year) |
| Age | Structure age | (10^6 year) |
| He_sur | Surface He | mass fraction |
| Mc_CO | Mass of CO-core | (solar units) |
| t_Heb | Central He-burning lifetime | (10^6 year) |
| TABLE by PIETRINFERNI A. - CASSISI S. - SALARIS M. - CASTELLI F. - 2007 non canonical alpha-enhanced Z= .0006 Y= .2460 | |||||||||||||||||
| ZAMS | end central H | ZAHB | end central He | second dr. up | first THERMAL PULSE | ||||||||||||
| M | log(L) | log(Te) | Mcc | Mc_He | t_Hb | Mc_He | Mcc | Mc_He | Mc_CO | t_Heb | Mc_CO | log(L) | Mc_CO | Mc_He | log(L) | log(Te) | Age |
| 3.0000 | 2.0971 | 4.2332 | .7092 | .3922 | 250.78 | .4852 | .1186 | .8568 | .3546 | 35.65 | .7793 | 4.1598 | .7988 | .8041 | 4.1281 | 3.6183 | 291.72 |
| 4.0000 | 2.5305 | 4.2983 | 1.0501 | .5589 | 132.10 | .6620 | .1741 | 1.1581 | .5526 | 16.23 | .8333 | 4.2252 | .8505 | .8543 | 4.2330 | 3.6280 | 150.84 |
| 5.0000 | 2.8525 | 4.3482 | 1.4001 | .7679 | 82.72 | .8589 | .2375 | 1.4752 | .6904 | 9.20 | .9178 | 4.3044 | .9305 | .9325 | 4.3944 | 3.6287 | 93.14 |
| 6.0000 | 3.1090 | 4.3861 | 1.7854 | .9967 | 57.45 | 1.0797 | .3084 | 1.7980 | .7793 | 5.73 | no dredge up | ---- CARBON IGNITION ---- | |||||
| 7.0000 | 3.3211 | 4.4180 | 2.1801 | 1.2602 | 42.91 | 1.3217 | .3942 | 2.1424 | .9892 | 4.04 | no dredge up | ---- CARBON IGNITION ---- | |||||
| 8.0000 | 3.4954 | 4.4454 | 2.6601 | 1.5220 | 33.76 | 1.6007 | .4963 | 2.5051 | 1.1957 | 3.00 | no dredge up | ---- CARBON IGNITION ---- | |||||
| 9.0000 | 3.6479 | 4.4677 | 3.1488 | 1.8378 | 27.59 | 1.9085 | .6183 | 2.8869 | 1.4383 | 2.35 | no dredge up | ---- CARBON IGNITION ---- | |||||
| 10.0000 | 3.7808 | 4.4878 | 3.7217 | 2.1577 | 23.23 | 2.2210 | .7661 | 3.2329 | 1.6755 | 1.92 | no dredge up | ---- CARBON IGNITION ---- | |||||
| M | Stellar mass | (solar units) |
| L | Surface luminosity | (solar units) |
| Te | Effective temperature | (Kelvin) |
| Mcc | Mass of convective core | (solar units) |
| Mc_He | Mass of He-core | (solar units) |
| t_Hb | Central H-burning lifetime | (10^6 year) |
| Mc_CO | Mass of CO-core | (solar units) |
| t_Heb | Central He-burning lifetime | (10^6 year) |
| Age | Structure age | (10^6 year) |
|
|
|
Y=0.246, Z = 0.0006 - Isochrones (Age: 30 - 9500 Myr)
| ||||||||||||||
| List of metallicities |