You are now in:
BASTI Home /
Alpha Enhanced (F05) Models /
Non Canonical Models /
List of
metallicities / Z=0.008
|
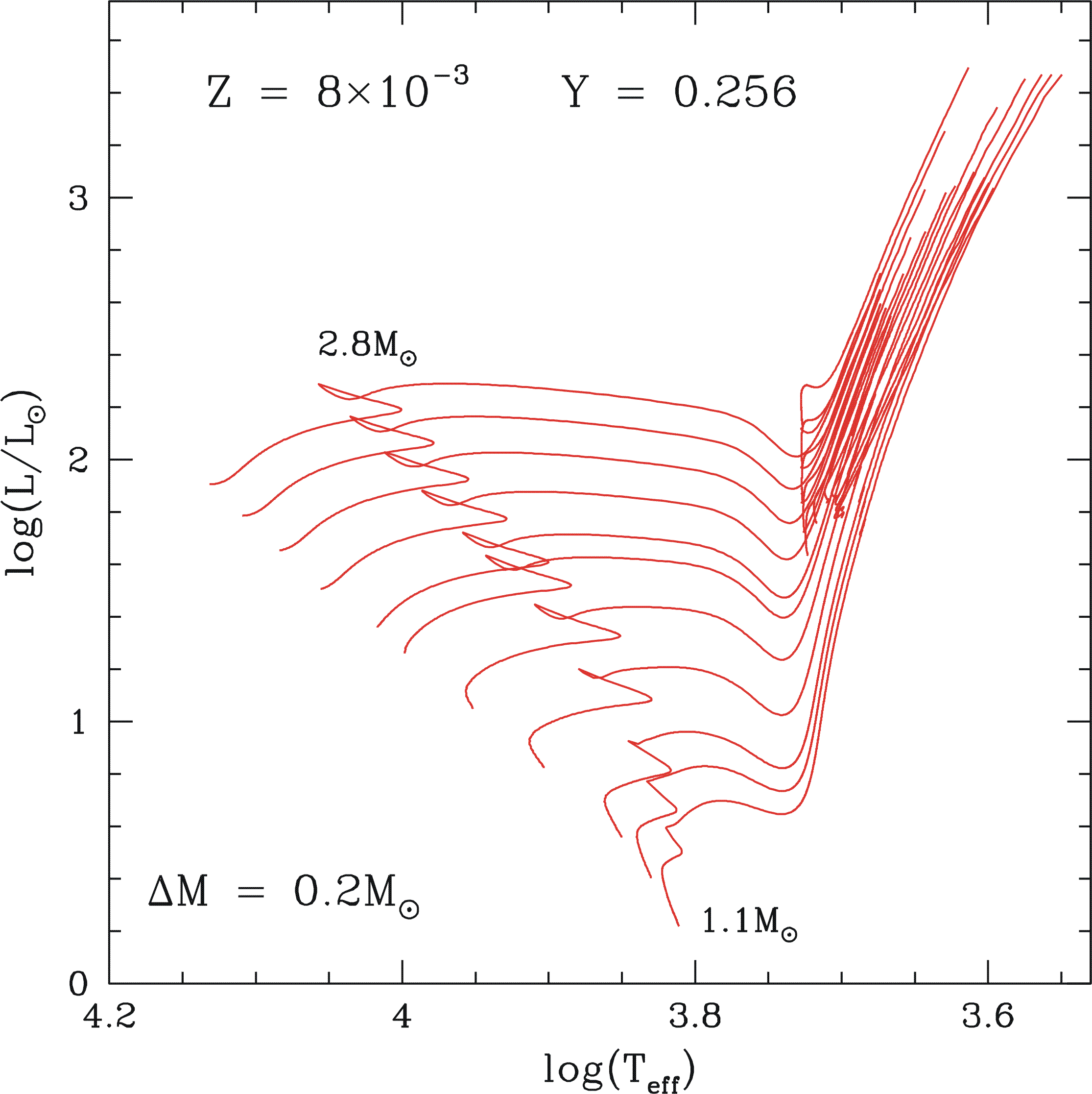
Y= 0.256, Z = 0.008 - Evolutionary models |
|
| ||||||||||||||
| TABLE by PIETRINFERNI A. - CASSISI S. - SALARIS M. - CASTELLI F. - 2007 non canonical alpha-enhanced Z= .0080 Y= .2560 | |||||||||||||||||||
| ZAMS | end central H | Tip RGB | ZAHB | end central He | first THERMAL PULSE | ||||||||||||||
| M | log(L) | log(Te) | Mcc | Mc_He | t_Hb | log(L) | log(Te) | He_sur | Age | Mc_He | Mcc | Mc_He | Mc_CO | t_Heb | Mc_CO | Mc_He | log(L) | log(Te) | Age |
| 1.1000 | .2476 | 3.8158 | .0042 | .1126 | 5025.98 | 3.4314 | 3.5405 | .2780 | 5790.49 | .4780 | .1173 | .5129 | .1638 | 94.46 | .5003 | .5300 | 3.4709 | 3.5362 | 5958.60 |
| 1.2000 | .4231 | 3.8383 | .0215 | .1220 | 3586.62 | 3.4308 | 3.5476 | .2770 | 4209.12 | .4777 | .1180 | .5163 | .1627 | 93.11 | .5047 | .5334 | 3.4897 | 3.5409 | 4368.36 |
| 1.3000 | .5782 | 3.8649 | .0400 | .1284 | 2654.83 | 3.4307 | 3.5530 | .2750 | 3169.28 | .4777 | .1161 | .5194 | .1635 | 92.83 | .5055 | .5346 | 3.4784 | 3.5457 | 3322.34 |
| 1.5000 | .8544 | 3.9286 | .0934 | .1536 | 1729.48 | 3.4252 | 3.5641 | .2730 | 1942.86 | .4765 | .1178 | .5234 | .2131 | 92.38 | .5096 | .5377 | 3.4538 | 3.5630 | 2084.44 |
| 1.7000 | 1.0841 | 3.9805 | .1760 | .1800 | 1260.84 | 3.2729 | 3.5879 | .2730 | 1326.19 | .4481 | .1082 | .5081 | .2051 | 109.21 | .4930 | .5238 | 3.3796 | 3.5794 | 1478.28 |
| 1.9000 | 1.2756 | 4.0216 | .2542 | .2058 | 930.78 | 2.4241 | 3.6632 | .2770 | 952.68 | .3312 | .0412 | .4540 | .1830 | 249.28 | .4391 | .4811 | 3.0408 | 3.6181 | 1237.58 |
| 2.0000 | 1.3626 | 4.0392 | .2940 | .2112 | 810.97 | 2.5292 | 3.6592 | .2790 | 828.35 | .3343 | .0521 | .4604 | .1675 | 227.75 | .4458 | .4864 | 3.1354 | 3.6129 | 1085.11 |
| 2.2000 | 1.5205 | 4.0661 | .3786 | .2410 | 621.63 | 2.5605 | 3.6628 | .2820 | 641.63 | .3482 | .0760 | .4864 | .1916 | 181.03 | .4714 | .5061 | 3.3006 | 3.6043 | 843.08 |
| 2.4000 | 1.6621 | 4.0922 | .4479 | .2681 | 497.78 | 2.5843 | 3.6661 | .2850 | 510.65 | .3688 | .0874 | .5185 | .2020 | 138.66 | .5071 | .5353 | 3.4795 | 3.5939 | 664.24 |
| 2.6000 | 1.7912 | 4.1151 | .5124 | .2950 | 405.91 | 2.6395 | 3.6667 | .2850 | 415.22 | .3933 | .0928 | .5583 | .2164 | 102.92 | .5492 | .5712 | 3.5840 | 3.5890 | 528.91 |
| 2.8000 | 1.9098 | 4.1355 | .5765 | .3351 | 336.22 | 2.7073 | 3.6660 | .2840 | 343.60 | .4208 | .1005 | .6057 | .2489 | 77.50 | .6008 | .6175 | 3.7399 | 3.5783 | 429.05 |
| M | Stellar mass | (solar units) |
| L | Surface luminosity | (solar units) |
| Te | Effective temperature | (Kelvin) |
| Mcc | Mass of convective core | (solar units) |
| Mc_He | Mass of He-core | (solar units) |
| t_Hb | Central H-burning lifetime | (10^6 year) |
| Age | Structure age | (10^6 year) |
| He_sur | Surface He | mass fraction |
| Mc_CO | Mass of CO-core | (solar units) |
| t_Heb | Central He-burning lifetime | (10^6 year) |
| TABLE by PIETRINFERNI A. - CASSISI S. - SALARIS M. - CASTELLI F. - 2007 non canonical alpha-enhanced Z= .0080 Y= .2560 | |||||||||||||||||
| ZAMS | end central H | ZAHB | end central He | second dr. up | first THERMAL PULSE | ||||||||||||
| M | log(L) | log(Te) | Mcc | Mc_He | t_Hb | Mc_He | Mcc | Mc_He | Mc_CO | t_Heb | Mc_CO | log(L) | Mc_CO | Mc_He | log(L) | log(Te) | Age |
| 3.0000 | 2.0205 | 4.1539 | .6401 | .3538 | 282.63 | .4497 | .1107 | .6622 | .2402 | 58.61 | no dredge up | .6602 | .6723 | 3.8847 | 3.5693 | 353.23 | |
| 3.5000 | 2.2621 | 4.1944 | .7985 | .4352 | 193.99 | .5280 | .1344 | .8192 | .3371 | 32.38 | .7525 | 4.1221 | .7864 | .7921 | 4.1555 | 3.5545 | 233.25 |
| 4.0000 | 2.4676 | 4.2285 | .9660 | .5285 | 139.08 | .6177 | .1604 | .9808 | .3994 | 20.40 | .7890 | 4.1874 | .8163 | .8209 | 4.2292 | 3.5579 | 164.02 |
| 4.5000 | 2.6468 | 4.2591 | 1.1246 | .6058 | 104.65 | .7107 | .1898 | 1.1418 | .5388 | 14.51 | .8271 | 4.2321 | .8463 | .8500 | 4.2893 | 3.5613 | 122.12 |
| 5.0000 | 2.8046 | 4.2856 | 1.2964 | .7176 | 82.00 | .8126 | .2228 | 1.3107 | .5831 | 11.18 | .8782 | 4.2852 | .8916 | .8943 | 4.3759 | 3.5616 | 95.21 |
| 5.5000 | 2.9453 | 4.3089 | 1.4657 | .8085 | 66.28 | .9198 | .2564 | 1.4691 | .6588 | 8.31 | .9131 | 4.3205 | .9227 | .9249 | 4.4707 | 3.5596 | 76.18 |
| 6.0000 | 3.0720 | 4.3296 | 1.6517 | .9325 | 54.95 | 1.0279 | .2955 | 1.6337 | .7521 | 6.75 | no dredge up | ---- CARBON IGNITION ---- | |||||
| 6.5000 | 3.1871 | 4.3485 | 1.8448 | 1.0269 | 46.55 | 1.1485 | .3373 | 1.7873 | .8218 | 5.36 | no dredge up | ---- CARBON IGNITION ---- | |||||
| 7.0000 | 3.2924 | 4.3661 | 2.0299 | 1.1520 | 40.16 | 1.2704 | .3824 | 1.9797 | .9470 | 4.65 | no dredge up | ---- CARBON IGNITION ---- | |||||
| 7.5000 | 3.3893 | 4.3821 | 2.2329 | 1.3199 | 35.14 | 1.4014 | .4291 | 2.1536 | 1.0598 | 3.91 | no dredge up | ---- CARBON IGNITION ---- | |||||
| 8.0000 | 3.4789 | 4.3960 | 2.4299 | 1.4554 | 31.09 | 1.5430 | .4833 | 2.3406 | 1.1539 | 3.44 | no dredge up | ---- CARBON IGNITION ---- | |||||
| 8.5000 | 3.5622 | 4.4098 | 2.6461 | 1.5864 | 27.84 | 1.6836 | .5386 | 2.5088 | 1.1997 | 2.87 | no dredge up | ---- CARBON IGNITION ---- | |||||
| 9.0000 | 3.6399 | 4.4214 | 2.8693 | 1.7360 | 25.12 | 1.8339 | .5995 | 2.7007 | 1.3537 | 2.58 | no dredge up | ---- CARBON IGNITION ---- | |||||
| 9.5000 | 3.7128 | 4.4338 | 3.0875 | 1.9171 | 22.89 | 1.9879 | .6627 | 2.9278 | 1.5436 | 2.38 | no dredge up | ---- CARBON IGNITION ---- | |||||
| 10.0000 | 3.7812 | 4.4440 | 3.3121 | 2.1206 | 20.97 | 2.1515 | .7364 | 3.1134 | 1.6222 | 2.12 | no dredge up | ---- CARBON IGNITION ---- | |||||
| M | Stellar mass | (solar units) |
| L | Surface luminosity | (solar units) |
| Te | Effective temperature | (Kelvin) |
| Mcc | Mass of convective core | (solar units) |
| Mc_He | Mass of He-core | (solar units) |
| t_Hb | Central H-burning lifetime | (10^6 year) |
| Mc_CO | Mass of CO-core | (solar units) |
| t_Heb | Central He-burning lifetime | (10^6 year) |
| Age | Structure age | (10^6 year) |
|
|
|
Y=0.256, Z = 0.008 - Isochrones (Age: 30 - 9500 Myr)
| ||||||||||||||
| List of metallicities |