You are now in:
BASTI Home /
Alpha Enhanced (F05) Models /
Non Canonical Models /
List of
metallicities / Z=0.0198
|
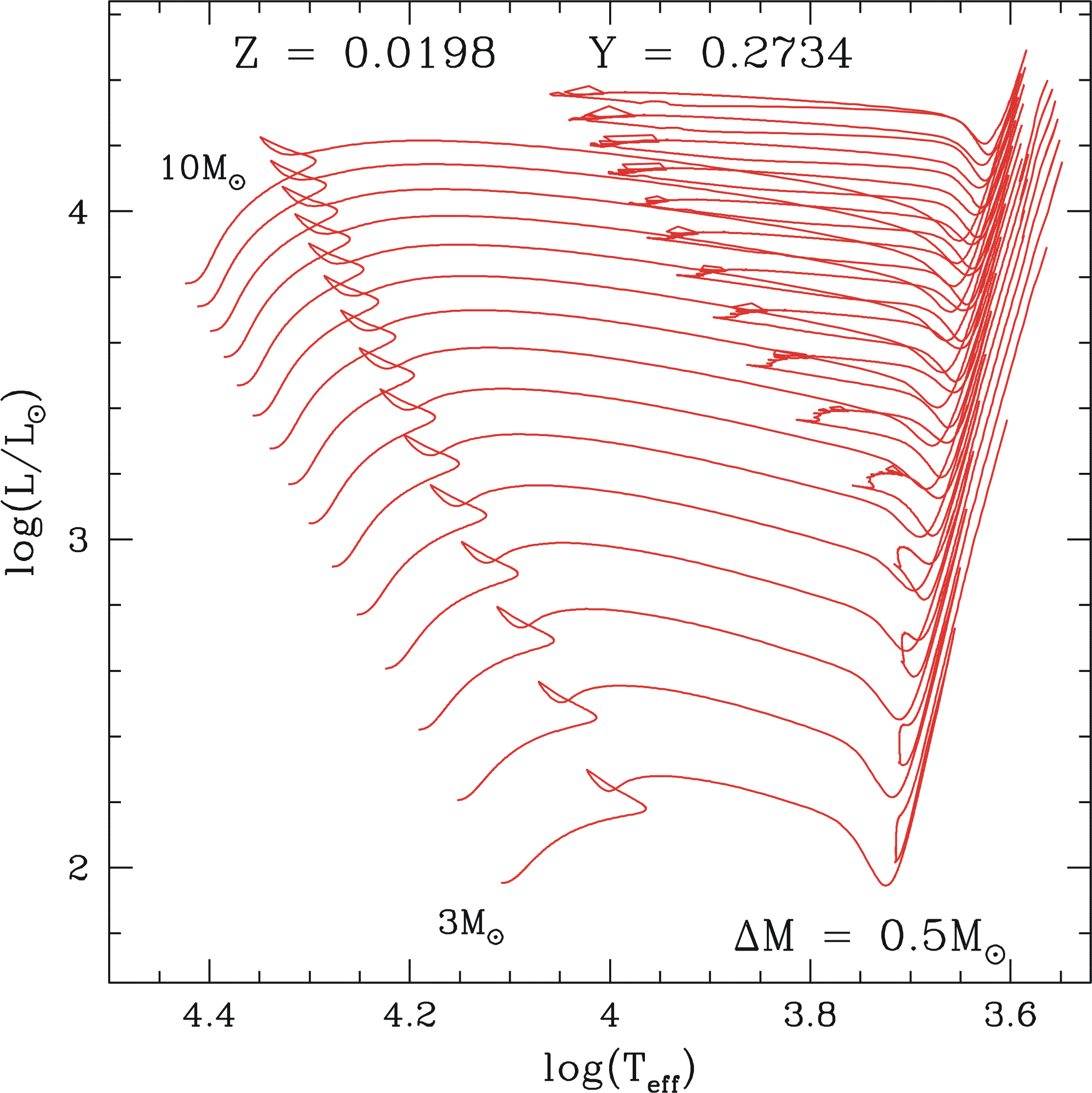
Y= 0.2734, Z = 0.0198 - Evolutionary models |
|
| ||||||||||||||
| TABLE by PIETRINFERNI A. - CASSISI S. - SALARIS M. - CASTELLI F. - 2007 non canonical alpha-enhanced Z= .0198 Y= .2734 | |||||||||||||||||||
| ZAMS | end central H | Tip RGB | ZAHB | end central He | first THERMAL PULSE | ||||||||||||||
| M | log(L) | log(Te) | Mcc | Mc_He | t_Hb | log(L) | log(Te) | He_sur | Age | Mc_He | Mcc | Mc_He | Mc_CO | t_Heb | Mc_CO | Mc_He | log(L) | log(Te) | Age |
| 1.1000 | .1114 | 3.7859 | .0000 | .1015 | 6498.77 | 3.4490 | 3.4955 | .2950 | 7509.17 | .4712 | .1124 | .5054 | .1569 | 100.34 | .4939 | .5241 | 3.4101 | 3.5029 | 7706.75 |
| 1.2000 | .2976 | 3.8064 | .0000 | .1091 | 4488.93 | 3.4492 | 3.5052 | .2940 | 5381.77 | .4710 | .1112 | .5085 | .1952 | 99.49 | .4996 | .5282 | 3.4531 | 3.5055 | 5566.17 |
| 1.3000 | .4634 | 3.8264 | .0101 | .1168 | 3244.98 | 3.4497 | 3.5137 | .2920 | 3999.57 | .4710 | .1121 | .5110 | .1970 | 98.18 | .5006 | .5286 | 3.4625 | 3.5127 | 4174.99 |
| 1.5000 | .7479 | 3.8756 | .0732 | .1430 | 2068.52 | 3.4476 | 3.5266 | .2890 | 2381.92 | .4707 | .1117 | .5149 | .1572 | 96.32 | .5042 | .5325 | 3.4747 | 3.5221 | 2542.09 |
| 1.7000 | .9855 | 3.9287 | .1556 | .1629 | 1481.89 | 3.3643 | 3.5459 | .2880 | 1570.38 | .4549 | .1070 | .5081 | .1872 | 106.59 | .4967 | .5267 | 3.4709 | 3.5380 | 1734.90 |
| 1.9000 | 1.1842 | 3.9703 | .2319 | .1852 | 1072.05 | 3.1830 | 3.5750 | .2920 | 1118.87 | .4229 | .0957 | .4914 | .1974 | 128.78 | .4817 | .5137 | 3.3241 | 3.5623 | 1291.41 |
| 2.0000 | 1.2739 | 3.9883 | .2625 | .2016 | 930.02 | 3.0014 | 3.5949 | .2940 | 964.50 | .3972 | .0868 | .4786 | .1897 | 151.89 | .4730 | .5064 | 3.3091 | 3.5677 | 1154.94 |
| 2.2000 | 1.4377 | 4.0189 | .3408 | .2251 | 707.32 | 2.4940 | 3.6434 | .2970 | 728.61 | .3339 | .0505 | .4600 | .1678 | 234.02 | .4600 | .4961 | 3.2180 | 3.5830 | 991.40 |
| 2.4000 | 1.5848 | 4.0447 | .4067 | .2524 | 554.14 | 2.5694 | 3.6430 | .2990 | 572.69 | .3524 | .0745 | .4820 | .1920 | 186.52 | .4798 | .5115 | 3.3660 | 3.5748 | 780.73 |
| 2.6000 | 1.7186 | 4.0682 | .4647 | .2775 | 445.45 | 2.6049 | 3.6457 | .3010 | 460.23 | .3753 | .0866 | .5086 | .1901 | 145.29 | .5008 | .5295 | 3.4678 | 3.5703 | 621.83 |
| 2.8000 | 1.8414 | 4.0898 | .5263 | .3097 | 364.80 | 2.6572 | 3.6463 | .3020 | 376.44 | .3996 | .0929 | .5400 | .1984 | 111.01 | .5333 | .5570 | 3.5812 | 3.5649 | 500.17 |
| M | Stellar mass | (solar units) |
| L | Surface luminosity | (solar units) |
| Te | Effective temperature | (Kelvin) |
| Mcc | Mass of convective core | (solar units) |
| Mc_He | Mass of He-core | (solar units) |
| t_Hb | Central H-burning lifetime | (10^6 year) |
| Age | Structure age | (10^6 year) |
| He_sur | Surface He | mass fraction |
| Mc_CO | Mass of CO-core | (solar units) |
| t_Heb | Central He-burning lifetime | (10^6 year) |
| TABLE by PIETRINFERNI A. - CASSISI S. - SALARIS M. - CASTELLI F. - 2007 non canonical alpha-enhanced Z= .0198 Y= .2734 | |||||||||||||||||
| ZAMS | end central H | ZAHB | end central He | second dr. up | first THERMAL PULSE | ||||||||||||
| M | log(L) | log(Te) | Mcc | Mc_He | t_Hb | Mc_He | Mcc | Mc_He | Mc_CO | t_Heb | Mc_CO | log(L) | Mc_CO | Mc_He | log(L) | log(Te) | Age |
| 3.0000 | 1.9548 | 4.1100 | .5837 | .3330 | 304.43 | .4279 | .1014 | .5782 | .2235 | 86.38 | no dredge up | .5727 | .5921 | 3.6953 | 3.5574 | 409.11 | |
| 3.5000 | 2.2067 | 4.1500 | .7337 | .4023 | 201.04 | .5040 | .1268 | .6963 | .2472 | 46.56 | no dredge up | .6967 | .7063 | 4.0432 | 3.5316 | 261.15 | |
| 4.0000 | 2.4207 | 4.1914 | .8828 | .4845 | 141.86 | .5868 | .1517 | .8384 | .2835 | 28.90 | .7341 | 4.0724 | .7828 | .7885 | 4.1855 | 3.5272 | 176.76 |
| 4.5000 | 2.6073 | 4.2238 | 1.0403 | .5886 | 105.32 | .6800 | .1790 | .9882 | .3657 | 18.29 | .7805 | 4.1687 | .8125 | .8172 | 4.2395 | 3.5327 | 127.82 |
| 5.0000 | 2.7713 | 4.2526 | 1.2016 | .6656 | 81.67 | .7768 | .2103 | 1.1486 | .4179 | 13.03 | .8153 | 4.2226 | .8433 | .8471 | 4.3183 | 3.5328 | 97.55 |
| 5.5000 | 2.9174 | 4.2774 | 1.3574 | .7914 | 65.34 | .8794 | .2439 | 1.3082 | .5766 | 9.78 | .8629 | 4.2791 | .8807 | .8837 | 4.3923 | 3.5343 | 77.24 |
| 6.0000 | 3.0488 | 4.3005 | 1.5253 | .8899 | 53.85 | .9926 | .2804 | 1.4734 | .6488 | 7.57 | .9077 | 4.3187 | .9238 | .9259 | 4.5035 | 3.5292 | 62.91 |
| 6.5000 | 3.1681 | 4.3213 | 1.7077 | .9984 | 45.36 | 1.1101 | .3207 | 1.6379 | .7196 | 6.00 | .9569 | 4.4052 | ---- CARBON IGNITION ---- | ||||
| 7.0000 | 3.2771 | 4.3397 | 1.8904 | 1.1758 | 38.84 | 1.2342 | .3655 | 1.8164 | .8300 | 5.04 | no dredge up | ---- CARBON IGNITION ---- | |||||
| 7.5000 | 3.3773 | 4.3567 | 2.0866 | 1.2586 | 33.80 | 1.3664 | .4141 | 1.9899 | .9390 | 4.23 | no dredge up | ---- CARBON IGNITION ---- | |||||
| 8.0000 | 3.4698 | 4.3725 | 2.2812 | 1.3972 | 29.82 | 1.5069 | .4663 | 2.1849 | 1.0788 | 3.69 | no dredge up | ---- CARBON IGNITION ---- | |||||
| 8.5000 | 3.5556 | 4.3869 | 2.4977 | 1.5685 | 26.58 | 1.6531 | .5275 | 2.3710 | 1.1794 | 3.20 | no dredge up | ---- CARBON IGNITION ---- | |||||
| 9.0000 | 3.6356 | 4.3996 | 2.7109 | 1.7201 | 23.90 | 1.8109 | .5912 | 2.5650 | 1.3562 | 2.83 | no dredge up | ---- CARBON IGNITION ---- | |||||
| 9.5000 | 3.7104 | 4.4123 | 2.9326 | 1.9026 | 21.71 | 1.9616 | .6561 | 2.7472 | 1.3426 | 2.39 | no dredge up | ---- CARBON IGNITION ---- | |||||
| 10.0000 | 3.7806 | 4.4240 | 3.1867 | 2.0152 | 19.87 | 2.1315 | .7322 | 2.9483 | 1.5427 | 2.25 | no dredge up | ---- CARBON IGNITION ---- | |||||
| M | Stellar mass | (solar units) |
| L | Surface luminosity | (solar units) |
| Te | Effective temperature | (Kelvin) |
| Mcc | Mass of convective core | (solar units) |
| Mc_He | Mass of He-core | (solar units) |
| t_Hb | Central H-burning lifetime | (10^6 year) |
| Mc_CO | Mass of CO-core | (solar units) |
| t_Heb | Central He-burning lifetime | (10^6 year) |
| Age | Structure age | (10^6 year) |
|
|
|
Y=0.2734, Z = 0.0198 - Isochrones (Age: 30 - 9500 Myr)
| ||||||||||||
| List of metallicities |