You are now in:
BASTI main /
Alpha Enhanced (AF94) Models /
Non Canonical Models /
List of
metallicities / Z=0.008
|
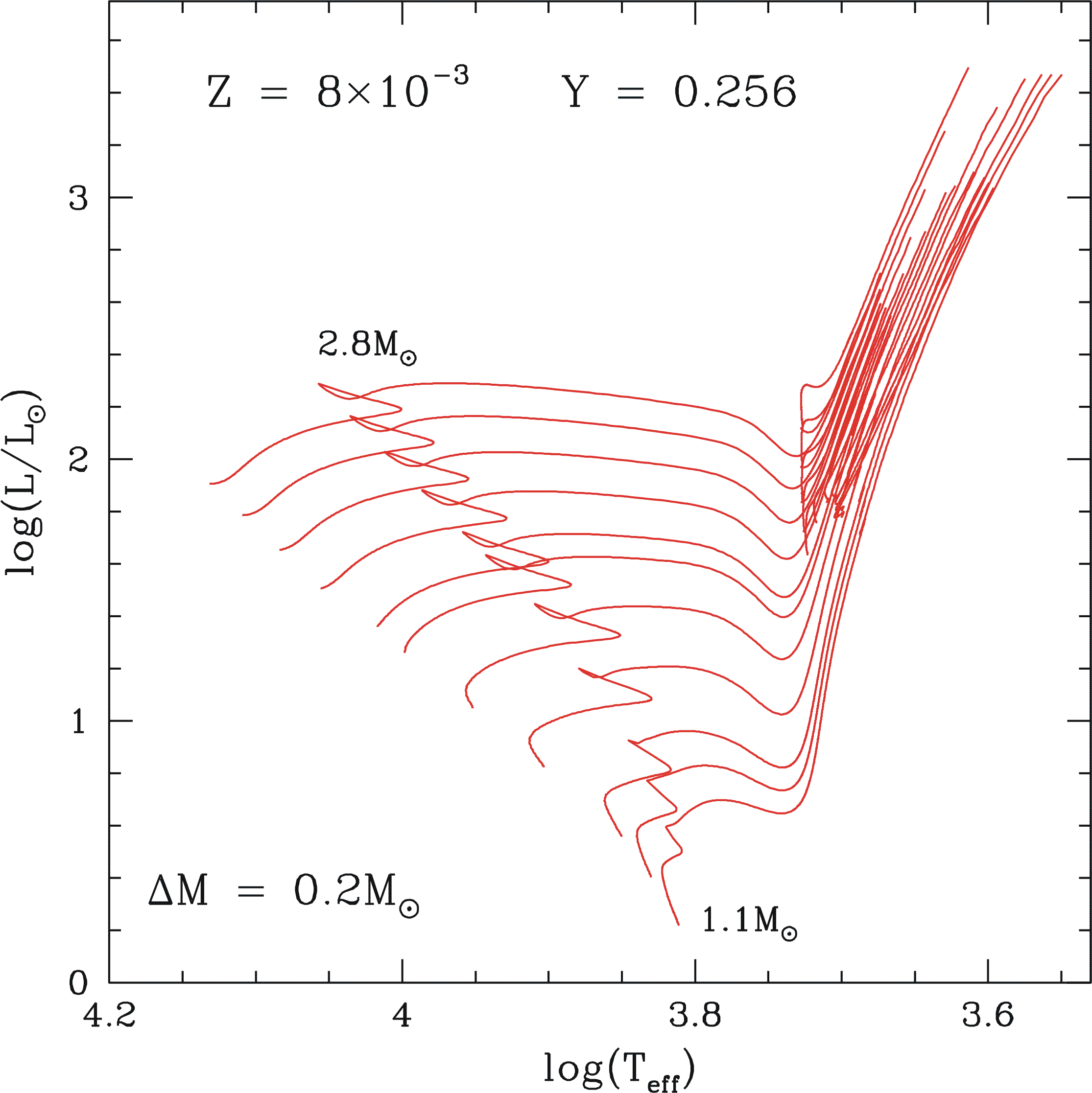
Y= 0.256, Z = 0.008 - Evolutionary models |
|
| |||||
TABLE by PIETRINFERNI A. - CASSISI S. - SALARIS M. - CASTELLI F. -
2006 non canonical alpha-ehnanced Z= 0.008 Y= 0.2560
|
ZAMS
|
end central H
|
Tip RGB
|
ZAHB
|
end central He
|
first THERMAL PULSE
| M
| log(L) | log(Te) | Mcc | Mc_He | t_Hb | log(L) | log(Te) | He_sur | Age
| Mc_He | Mcc | Mc_He | Mc_CO | t_Heb | Mc_CO | Mc_He | log(L) | log(Te) | Age
| 1.1000 | .2338 | 3.8122 | .0795 | .1117 | 5225.76 | 3.4309 | 3.5571 | .2780 | 6034.55 | .4778 | .1174 | .5134 | .1634 | 94.32 | .4989 | .5284 | 3.5294 | 3.5468 | 6200.17
| 1.2000 | .4024 | 3.8301 | .1179 | .1200 | 4119.07 | 3.4305 | 3.5630 | .2770 | 4844.26 | .4775 | .1166 | .5165 | .1638 | 93.49 | .5049 | .5340 | 3.4996 | 3.5559 | 5003.48
| 1.3000 | .5567 | 3.8502 | .1499 | .1368 | 3401.79 | 3.4291 | 3.5690 | .2770 | 3986.53 | .4770 | .1173 | .5200 | .1640 | 92.34 | .5083 | .5371 | 3.5265 | 3.5576 | 4139.01
| 1.5000 | .8229 | 3.9034 | .2066 | .1560 | 2516.84 | 3.4034 | 3.5806 | .2770 | 2757.92 | .4717 | .1155 | .5222 | .2117 | 94.55 | .5089 | .5372 | 3.4693 | 3.5750 | 2902.99
| 1.7000 | 1.0493 | 3.9520 | .2634 | .1772 | 1921.40 | 3.2283 | 3.6055 | .2800 | 2038.63 | .4392 | .1044 | .5057 | .1609 | 114.13 | .4916 | .5230 | 3.4244 | 3.5889 | 2193.04
| 1.9000 | 1.2623 | 3.9982 | .3144 | .2073 | 1203.57 | 2.4532 | 3.6699 | .2810 | 1342.74 | .3306 | .0261 | .4569 | .1763 | 246.54 | .4540 | .4923 | 3.3200 | 3.6056 | 1622.16
| 2.0000 | 1.3401 | 4.0187 | .3442 | .2192 | 1079.66 | 2.5362 | 3.6673 | .2820 | 1108.48 | .3343 | .0401 | .4654 | .1742 | 222.37 | .4562 | .4935 | 3.2845 | 3.6114 | 1358.17
| 2.2000 | 1.5068 | 4.0563 | .3961 | .2391 | 773.89 | 2.5615 | 3.6709 | .2840 | 786.46 | .3488 | .0743 | .4898 | .1787 | 177.73 | .4803 | .5128 | 3.3699 | 3.6099 | 984.04
| 2.4000 | 1.6537 | 4.0853 | .4607 | .2672 | 581.07 | 2.5840 | 3.6743 | .2850 | 591.56 | .3702 | .0879 | .5208 | .2062 | 136.13 | .5127 | .5400 | 3.5378 | 3.6001 | 742.36
| 2.6000 | 1.7860 | 4.1091 | .5224 | .3039 | 451.03 | 2.6466 | 3.6739 | .2860 | 463.33 | .3948 | .1025 | .5523 | .2180 | 102.02 | .5417 | .5651 | 3.5859 | 3.6014 | 576.18
| 2.8000 | 1.9065 | 4.1318 | .5836 | .3320 | 361.89 | 2.7095 | 3.6736 | .2850 | 370.35 | .4219 | .1046 | .5996 | .2351 | 76.56 | .5931 | .6116 | 3.7870 | 3.5863 | 454.73
| | |||||||||||||||||||||||||||||||||
| M | Stellar mass | (solar units) |
| L | Surface luminosity | (solar units) |
| Te | Effective temperature | (Kelvin) |
| Mcc | Mass of convective core | (solar units) |
| Mc_He | Mass of He-core | (solar units) |
| t_Hb | Central H-burning lifetime | (10^6 year) |
| Age | Structure age | (10^6 year) |
| He_sur | Surface He | (mass fraction) |
| Mc_CO | Mass of CO-core | (solar units) |
| t_Heb | Central He-burning lifetime | (10^6 year) |
TABLE by PIETRINFERNI A. - CASSISI S. - SALARIS M. - CASTELLI F. -
2004 non canonical alpha-enhanced Z= 0.008 Y= 0.2560
|
ZAMS
|
end central H
|
ZAHB
|
end central He
|
second dr. up
|
first THERMAL PULSE
| M
| log(L) | log(Te) | Mcc | Mc_He | t_Hb | Mc_He
| Mcc | Mc_He | Mc_CO | t_Heb | Mc_CO | log(L) | Mc_CO | Mc_He | log(L) | log(Te) | Age
| 3.0000 | 2.0175 | 4.1513 | .6437 | .3635 | 295.96 | .4501 | .1116 | .6555 | .2637 | 57.95 | no dredge up | .6513 | .6640 | 3.8538 | 3.5846 | 366.67
| 3.5000 | 2.2609 | 4.1931 | .7985 | .4387 | 195.12 | .5304 | .1387 | .8134 | .3149 | 31.76 | .7645 | 4.1717 | .7874 | .7930 | 4.1656 | 3.5673 | 234.26
| 4.0000 | 2.4676 | 4.2284 | .9660 | .5227 | 139.05 | .6179 | .1732 | .9737 | .4633 | 20.62 | .8014 | 4.2145 | .8142 | .8190 | 4.2061 | 3.5729 | 164.33
| 4.5000 | 2.6468 | 4.2591 | 1.1246 | .6124 | 104.70 | .7129 | .1960 | 1.1323 | .5136 | 14.47 | .8355 | 4.2636 | .8455 | .8494 | 4.2856 | 3.5747 | 122.23
| 5.0000 | 2.8046 | 4.2855 | 1.2964 | .7152 | 81.97 | .8110 | .2241 | 1.2931 | .5891 | 10.83 | .8663 | 4.2912 | .8767 | .8799 | 4.3431 | 3.5777 | 94.98
| 5.5000 | 2.9453 | 4.3088 | 1.4657 | .7985 | 66.27 | .9162 | .2680 | 1.4519 | .6775 | 8.39 | .9052 | 4.3187 | .9170 | .9193 | 4.4651 | 3.5737 | 76.28
| 6.0000 | 3.0720 | 4.3298 | 1.6517 | .9295 | 54.98 | 1.0283 | .2992 | 1.6217 | .7552 | 6.80 | .9558 | 4.3617 | ------- CARBON IGNITION -------
| 6.5000 | 3.1871 | 4.3487 | 1.8448 | 1.0585 | 46.57 | 1.1478 | .3437 | 1.7843 | .8350 | 5.57 | 1.0081 | 4.2023 | ------- CARBON IGNITION -------
| 7.0000 | 3.2924 | 4.3662 | 2.0299 | 1.1511 | 40.17 | 1.2695 | .4064 | 1.9555 | .9138 | 4.62 | no dredge up | ------- CARBON IGNITION -------
| 7.5000 | 3.3893 | 4.3822 | 2.2329 | 1.3081 | 35.15 | 1.4004 | .4336 | 2.1254 | 1.0062 | 3.91 | no dredge up | ------- CARBON IGNITION -------
| 8.0000 | 3.4789 | 4.3960 | 2.4299 | 1.4554 | 31.10 | 1.5393 | .4977 | 2.3059 | 1.1302 | 3.36 | no dredge up | ------- CARBON IGNITION -------
| 8.5000 | 3.5622 | 4.4097 | 2.6461 | 1.5724 | 27.84 | 1.6916 | .5534 | 2.4924 | 1.2525 | 2.95 | no dredge up | ------- CARBON IGNITION -------
| 9.0000 | 3.6399 | 4.4215 | 2.8693 | 1.7360 | 25.12 | 1.8339 | .6019 | 2.6813 | 1.3319 | 2.60 | no dredge up | ------- CARBON IGNITION -------
| 9.5000 | 3.7128 | 4.4337 | 3.0875 | 1.8897 | 22.89 | 1.9969 | .7065 | 2.8826 | 1.5086 | 2.34 | no dredge up | ------- CARBON IGNITION -------
| 10.0000 | 3.7812 | 4.4440 | 3.3121 | 2.0523 | 20.97 | 2.1508 | .7786 | 3.1020 | 1.6164 | 2.12 | no dredge up | ------- CARBON IGNITION -------
| | |||||||||||||||||||||||||||||||||||||||||||||||||||||||||||||||||||||||||
| M | Stellar mass | (solar units) |
| L | Surface luminosity | (solar units) |
| Te | Effective temperature | (Kelvin) |
| Mcc | Mass of convective core | (solar units) |
| Mc_He | Mass of He-core | (solar units) |
| t_Hb | Central H-burning lifetime | (10^6 year) |
| Mc_CO | Mass of CO-core | (solar units) |
| t_Heb | Central He-burning lifetime | (10^6 year) |
| Age | Structure age | (10^6 year) |
|
|
|
Y=0.256, Z = 0.008 - Isochrones (Age: 30 - 9500 Myr)
| |||||
| List of metallicities |