You are now in:
BASTI main /
Alpha Enhanced (AF94) Models /
Non Canonical Models /
List of
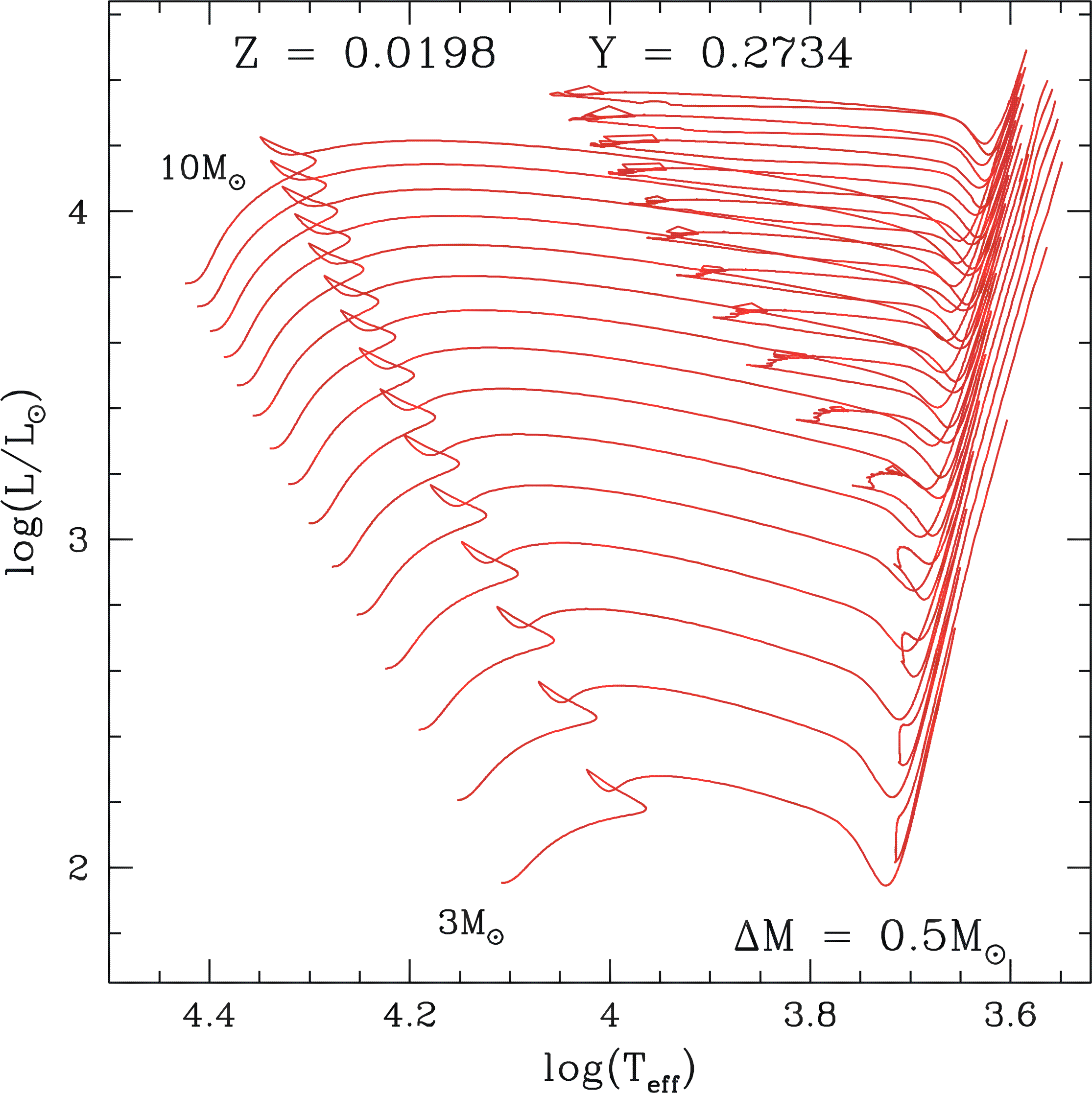
metallicities / Z=0.0198
|
Y= 0.2734, Z = 0.0198 - Evolutionary models |
|
| |||||
TABLE by PIETRINFERNI A. - CASSISI S. - SALARIS M. - CASTELLI F. -
2006 non canonical alpha-ehnanced Z= 0.0198 Y= 0.2734
|
ZAMS
|
end central H
|
Tip RGB
|
ZAHB
|
end central He
|
first THERMAL PULSE
| M
| log(L) | log(Te) | Mcc | Mc_He | t_Hb | log(L) | log(Te) | He_sur | Age
| Mc_He | Mcc | Mc_He | Mc_CO | t_Heb | Mc_CO | Mc_He | log(L) | log(Te) | Age
| 1.1000 | .1091 | 3.7874 | .0323 | .0996 | 6479.25 | 3.4447 | 3.5210 | .2950 | 7541.61 | .4702 | .1108 | .5061 | .1938 | 99.58 | .4989 | .5272 | 3.5484 | 3.5081 | 7733.45
| 1.2000 | .2842 | 3.8046 | .0709 | .1084 | 4812.48 | 3.4447 | 3.5285 | .2940 | 5738.30 | .4700 | .1110 | .5093 | .1587 | 99.97 | .5019 | .5296 | 3.5522 | 3.5155 | 5920.92
| 1.3000 | .4429 | 3.8202 | .1080 | .1213 | 3799.67 | 3.4447 | 3.5354 | .2930 | 4630.35 | .4698 | .1107 | .5117 | .1957 | 98.22 | .5013 | .5306 | 3.5060 | 3.5292 | 4803.91
| 1.5000 | .7232 | 3.8573 | .1690 | .1457 | 2669.51 | 3.4349 | 3.5471 | .2910 | 3076.45 | .4678 | .1099 | .5155 | .2066 | 99.04 | .5051 | .5328 | 3.4951 | 3.5388 | 3235.76
| 1.7000 | .9574 | 3.9066 | .2252 | .1657 | 1980.83 | 3.3367 | 3.5663 | .2930 | 2174.88 | .4490 | .1041 | .5071 | .2094 | 108.42 | .5044 | .5318 | 3.5531 | 3.5466 | 2337.20
| 1.9000 | 1.1597 | 3.9544 | .2693 | .1855 | 1382.78 | 3.1362 | 3.5934 | .2950 | 1433.77 | .4155 | .0922 | .4893 | .1980 | 133.51 | .4876 | .5179 | 3.4555 | 3.5647 | 1609.24
| 2.0000 | 1.2541 | 3.9743 | .2993 | .2019 | 1137.35 | 2.9171 | 3.6154 | .2950 | 1181.79 | .3866 | .0830 | .4753 | .1734 | 162.49 | .4790 | .5110 | 3.4493 | 3.5689 | 1381.00
| 2.2000 | 1.4252 | 4.0105 | .3495 | .2289 | 814.55 | 2.5050 | 3.6535 | .2980 | 833.11 | .3348 | .0529 | .4641 | .1740 | 226.38 | .4707 | .5036 | 3.3759 | 3.5826 | 1087.79
| 2.4000 | 1.5773 | 4.0403 | .4098 | .2498 | 613.60 | 2.5754 | 3.6539 | .3000 | 627.96 | .3535 | .0759 | .4855 | .1702 | 181.36 | .4920 | .5207 | 3.5117 | 3.5756 | 830.37
| 2.6000 | 1.7138 | 4.0657 | .4647 | .2809 | 477.26 | 2.6087 | 3.6560 | .3020 | 491.62 | .3744 | .0900 | .5024 | .2048 | 145.84 | .4925 | .5235 | 3.4711 | 3.5847 | 653.84
| 2.8000 | 1.8383 | 4.0880 | .5263 | .3018 | 379.17 | 2.6639 | 3.6565 | .3030 | 391.32 | .3997 | .0966 | .5346 | .2051 | 111.40 | .5252 | .5508 | 3.6011 | 3.5775 | 515.42
| | |||||||||||||||||||||||||||||||||
| M | Stellar mass | (solar units) |
| L | Surface luminosity | (solar units) |
| Te | Effective temperature | (Kelvin) |
| Mcc | Mass of convective core | (solar units) |
| Mc_He | Mass of He-core | (solar units) |
| t_Hb | Central H-burning lifetime | (10^6 year) |
| Age | Structure age | (10^6 year) |
| He_sur | Surface He | (mass fraction) |
| Mc_CO | Mass of CO-core | (solar units) |
| t_Heb | Central He-burning lifetime | (10^6 year) |
TABLE by PIETRINFERNI A. - CASSISI S. - SALARIS M. - CASTELLI F. -
2004 non canonical alpha-enhanced Z= 0.0198 Y= 0.2734
|
ZAMS
|
end central H
|
ZAHB
|
end central He
|
second dr. up
|
first THERMAL PULSE
| M
| log(L) | log(Te) | Mcc | Mc_He | t_Hb | Mc_He
| Mcc | Mc_He | Mc_CO | t_Heb | Mc_CO | log(L) | Mc_CO | Mc_He | log(L) | log(Te) | Age
| 3.0000 | 1.9531 | 4.1085 | .5834 | .3315 | 308.72 | .4279 | .1104 | .5727 | .2277 | 85.44 | no dredge up | .5641 | .5848 | 3.6407 | 3.5781 | 413.59
| 3.5000 | 2.2056 | 4.1528 | .7295 | .3909 | 201.21 | .5042 | .1327 | .6884 | .2637 | 46.52 | no dredge up | .6859 | .6965 | 4.0072 | 3.5519 | 258.88
| 4.0000 | 2.4207 | 4.1914 | .8828 | .4845 | 141.89 | .5881 | .1498 | .8285 | .3859 | 27.71 | .7587 | 4.1524 | .7829 | .7886 | 4.1655 | 3.5466 | 176.05
| 4.5000 | 2.6073 | 4.2246 | 1.0403 | .5749 | 105.65 | .6809 | .1914 | .9850 | .4250 | 18.25 | .7940 | 4.2159 | .8120 | .8169 | 4.2548 | 3.5471 | 127.90
| 5.0000 | 2.7714 | 4.2527 | 1.2016 | .6656 | 81.70 | .7768 | .2252 | 1.1451 | .5352 | 13.38 | .8336 | 4.2687 | .8451 | .8490 | 4.3012 | 3.5515 | 97.88
| 5.5000 | 2.9174 | 4.2776 | 1.3574 | .7776 | 65.40 | .8829 | .2464 | 1.3036 | .5666 | 9.68 | .8677 | 4.3058 | .8773 | .8804 | 4.3723 | 3.5527 | 77.19
| 6.0000 | 3.0488 | 4.3008 | 1.5253 | .8939 | 53.90 | .9962 | .2793 | 1.4715 | .6884 | 7.74 | .9139 | 4.3370 | .9250 | .9272 | 4.5035 | 3.5473 | 63.08
| 6.5000 | 3.1681 | 4.3214 | 1.7077 | .9916 | 45.36 | 1.1101 | .3251 | 1.6419 | .7643 | 6.19 | .9561 | 4.3515 | ------- CARBON IGNITION -------
| 7.0000 | 3.2771 | 4.3398 | 1.8904 | 1.1387 | 38.85 | 1.2354 | .3696 | 1.8091 | .8081 | 5.00 | 1.0011 | 4.2473 | ------- CARBON IGNITION -------
| 7.5000 | 3.3773 | 4.3567 | 2.0866 | 1.2443 | 33.80 | 1.3731 | .4340 | 1.9903 | .9410 | 4.27 | no dredge up | ------- CARBON IGNITION -------
| 8.0000 | 3.4698 | 4.3724 | 2.2812 | 1.4112 | 29.82 | 1.5141 | .4705 | 2.1698 | .9906 | 3.56 | no dredge up | ------- CARBON IGNITION -------
| 8.5000 | 3.5556 | 4.3860 | 2.4977 | 1.5686 | 26.55 | 1.6675 | .5630 | 2.3649 | 1.2157 | 3.18 | no dredge up | ------- CARBON IGNITION -------
| 9.0000 | 3.6356 | 4.3995 | 2.7109 | 1.7201 | 23.90 | 1.8109 | .6262 | 2.5640 | 1.4088 | 2.86 | no dredge up | ------- CARBON IGNITION -------
| 9.5000 | 3.7104 | 4.4123 | 2.9326 | 1.8339 | 21.71 | 1.9734 | .6901 | 2.7554 | 1.5170 | 2.51 | no dredge up | ------- CARBON IGNITION -------
| 10.0000 | 3.7806 | 4.4245 | 3.1867 | 2.0277 | 19.89 | 2.1446 | .7468 | 2.9532 | 1.5998 | 2.20 | no dredge up | ------- CARBON IGNITION -------
| | |||||||||||||||||||||||||||||||||||||||||||||||||||||||||||||||||||||
| M | Stellar mass | (solar units) |
| L | Surface luminosity | (solar units) |
| Te | Effective temperature | (Kelvin) |
| Mcc | Mass of convective core | (solar units) |
| Mc_He | Mass of He-core | (solar units) |
| t_Hb | Central H-burning lifetime | (10^6 year) |
| Mc_CO | Mass of CO-core | (solar units) |
| t_Heb | Central He-burning lifetime | (10^6 year) |
| Age | Structure age | (10^6 year) |
|
|
|
Y=0.2734, Z = 0.0198 - Isochrones (Age: 30 - 9500 Myr)
| |||||
| List of metallicities |