You are now in:
BASTI Home / Alpha Enhanced (F05) Models / Canonical Models / List of metallicities / Z=0.00001


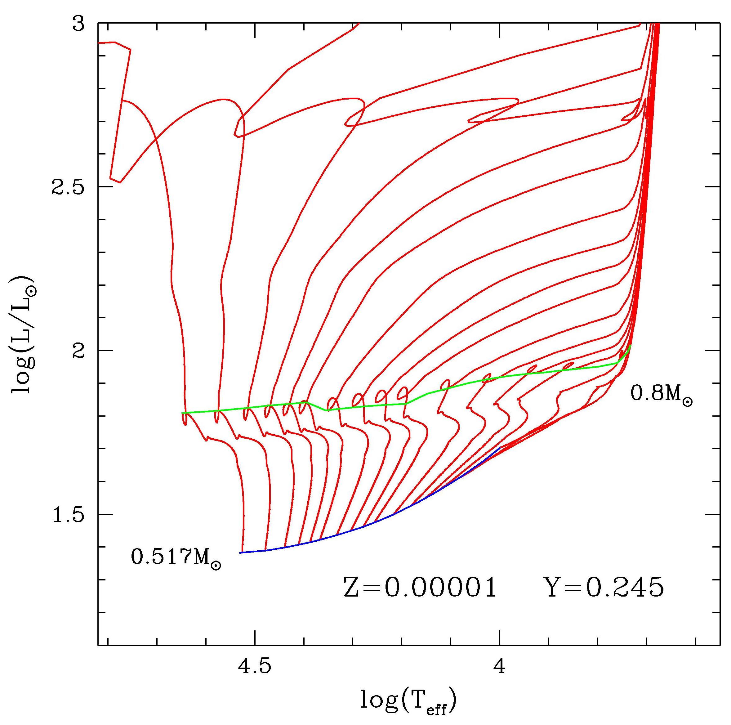
Y= 0.245, Z = 0.00001 - Evolutionary models

M = 0.50 Mo M = 0.55 Mo M = 0.60 Mo M = 0.70 Mo M = 0.75 Mo
M = 0.80 Mo M = 0.90 Mo M = 1.00 Mo M = 1.10 Mo M = 1.20 Mo
M = 1.30 Mo M = 1.40 Mo M = 1.50 Mo M = 1.60 Mo M = 1.70 Mo
M = 1.80 Mo M = 1.90 Mo M = 2.00 Mo M = 2.20 Mo M = 2.40 Mo
M = 2.60 Mo M = 2.80 Mo M = 3.00 Mo M = 3.50 Mo M = 4.00 Mo
M = 4.50 Mo M = 5.00 Mo M = 5.50 Mo M = 6.00 Mo M = 6.50 Mo

Download all tracks (as a single .tar.gz file)

UBVRIJKL bands ACS HST bands
Stroemgren bands Sloan bands
Walraven bands WFC2 HST bands
WFC3 HST bands WFC3-IR HST bands

TABLE by PIETRINFERNI A. - CASSISI S. - SALARIS M. - CASTELLI F. - 2013 standard alpha-enhanced Z= 0.0000 Y= 0.2450
ZAMS end central H Tip RGB ZAHB end central He first THERMAL PULSE
M log(L) log(Te) Mcc Mc_He t_Hb log(L) log(Te) He_sur Age Mc_He Mcc Mc_He Mc_CO t_Heb Mc_CO Mc_He log(L) log(Te) Age
0.7500 -0.3233 3.7797 0.0153 0.1189 14821.77 3.2107 3.6621 0.2480 15480.77 0.5170 0.1384 0.5170 0.1721 74.63 0.4884 0.5243 3.2523 3.6615 15583.12
0.8000 -0.1936 3.7977 0.0180 0.1237 11711.35 3.2076 3.6630 0.2500 12241.27 0.5158 0.1432 0.5158 0.2058 74.14 0.4895 0.5230 3.1971 3.6640 12341.86
0.9000 0.0449 3.8306 0.0202 0.1284 7600.03 3.1974 3.6653 0.2540 8010.83 0.5129 0.1425 0.5129 0.1785 69.81 0.4978 0.5299 3.3082 3.6607 8105.46
1.0000 0.2502 3.8628 0.0302 0.1387 5222.94 3.1814 3.6686 0.2570 5515.04 0.5092 0.1406 0.5163 0.1855 70.91 0.5040 0.5355 3.3464 3.6626 5608.67
1.1000 0.4300 3.8995 0.0444 0.1483 3755.71 3.1575 3.6712 0.2610 3963.65 0.5041 0.1340 0.5186 0.1824 70.92 0.5072 0.5360 3.4879 3.6556 4054.81
1.2000 0.5864 3.9359 0.0622 0.1570 2787.54 3.1215 3.6752 0.2640 2941.62 0.4970 0.1328 0.5246 0.1853 71.91 0.5126 0.5405 3.4653 3.6599 3032.24
1.3000 0.7362 3.9697 0.0745 0.1649 2120.97 3.0412 3.6808 0.2660 2246.85 0.4826 0.1264 0.5262 0.1821 75.77 0.5141 0.5426 3.3522 3.6681 2338.83
1.4000 0.8722 4.0010 0.0836 0.1776 1653.41 2.7911 3.6934 0.2690 1758.86 0.4430 0.1130 0.5157 0.2091 92.64 0.5033 0.5336 3.2916 3.6731 1864.46
1.5000 0.9961 4.0288 0.0962 0.1843 1317.34 2.7887 3.6951 0.2710 1391.70 0.4203 0.1017 0.5190 0.1743 102.03 0.5081 0.5381 3.3569 3.6738 1518.32
1.6000 1.1093 4.0543 0.1130 0.1966 1070.80 2.6946 3.7008 0.2720 1131.92 0.3996 0.0897 0.5283 0.2136 111.54 0.5160 0.5456 3.4042 3.6734 1264.50
1.7000 1.2149 4.0780 0.1339 0.2022 883.98 2.5834 3.7069 0.2740 935.44 0.3796 0.0841 0.5399 0.1819 118.91 0.5285 0.5535 3.4919 3.6710 1073.26
1.8000 1.3116 4.0997 0.1561 0.2141 741.80 2.4394 3.7136 0.2720 783.61 0.3573 0.0747 0.5498 0.2278 130.77 0.5418 0.5667 3.4845 3.6723 929.35
1.9000 1.4034 4.1200 0.1737 0.2184 629.25 2.2741 3.7210 0.2580 663.61 0.3370 0.0677 0.5512 0.2133 141.96 0.5452 0.5694 3.4974 3.6714 818.22
2.0000 1.4886 4.1389 0.2015 0.2299 540.26 2.1719 3.7278 0.2480 569.43 0.3369 0.1077 0.6169 0.2135 99.04 0.6206 0.6354 3.7588 3.6596 678.47
2.2000 1.6484 4.1732 0.2431 0.2485 405.27 2.2747 3.7719 0.2000 431.28 0.3454 0.1093 0.6541 0.2656 87.16 ------ ------ ------ ------ ------
2.4000 1.7885 4.2033 0.3000 0.2670 316.56 2.3544 3.8970 0.2450 339.47 0.3579 0.0898 0.6957 0.2815 75.67 ------ ------ ------ ------ ------
2.6000 1.9140 4.2297 0.3678 0.2836 255.58 2.4358 3.9814 0.2450 273.52 0.3710 0.0841 0.7295 0.2542 66.35 ------ ------ ------ ------ ------
2.8000 2.0274 4.2530 0.4398 0.3072 213.86 2.5218 4.0371 0.2450 226.61 0.3908 0.0814 0.7665 0.2812 57.96 ------ ------ ------ ------ ------

M Stellar mass (solar units)
L Surface luminosity (solar units)
Te Effective temperature (Kelvin)
Mcc Mass of convective core (solar units)
Mc_He Mass of He-core (solar units)
t_Hb Central H-burning lifetime (10^6 year)
Age Structure age (10^6 year)
He_sur Surface He mass fraction
Mc_CO Mass of CO-core (solar units)
t_Heb Central He-burning lifetime (10^6 year)

See table in ASCII format


TABLE by PIETRINFERNI A. - CASSISI S. - SALARIS M. - CASTELLI F. - 2013 standard alpha-enhanced Z= 0.0000 Y= 0.2450
ZAMS end central H ZAHB end central He second dr. up first THERMAL PULSE
M log(L) log(Te) Mcc Mc_He t_Hb Mc_He Mcc Mc_He Mc_CO t_Heb Mc_CO log(L) Mc_CO Mc_He log(L) log(Te) Age
3.0000 2.1279 4.2734 0.5310 0.3334 182.51 0.4116 0.0838 0.8064 0.2858 50.01 no dredge up 0.7924 0.8041 3.8215 3.6696 245.34
3.5000 2.3597 4.3156 0.7313 0.3905 132.15 0.4791 0.1013 0.9061 0.4061 33.57 0.7824 4.1564 0.8018 0.8071 4.0067 3.6657 172.52
4.0000 2.5730 4.3489 0.8906 0.4518 91.88 0.5508 0.1199 1.0206 0.4409 23.44 0.8020 4.1798 0.8199 0.8247 4.0374 3.6693 128.94
4.5000 2.7261 4.3763 1.1230 0.5229 78.65 0.6197 0.1393 1.1345 0.4911 17.08 0.8291 4.2112 0.8447 0.8487 4.1093 3.6701 100.29
5.0000 2.8718 4.3999 1.3339 0.5810 64.96 0.6934 0.1609 1.2608 0.5777 13.02 0.8572 4.2456 0.8695 0.8661 4.1364 3.6725 80.58
5.5000 3.0036 4.4218 1.5338 0.6319 54.49 0.7663 0.1789 1.3894 0.6105 10.21 0.8886 4.2707 ------ ------ ------ ------ ------
6.0000 3.1237 4.4401 1.7364 0.7135 46.35 0.8443 0.2024 1.5199 0.6600 8.24 0.9235 4.2930 ------ ------ ------ ------ ------
6.5000 3.2346 4.4551 1.9265 0.8026 39.85 0.9276 0.2216 1.6526 0.7250 6.81 no dredge up ---- CARBON IGNITION ----

M Stellar mass (solar units)
L Surface luminosity (solar units)
Te Effective temperature (Kelvin)
Mcc Mass of convective core (solar units)
Mc_He Mass of He-core (solar units)
t_Hb Central H-burning lifetime (10^6 year)
Mc_CO Mass of CO-core (solar units)
t_Heb Central He-burning lifetime (10^6 year)
Age Structure age (10^6 year)

See table in ASCII format


Click to enlarge Click to enlarge


Y=0.245, Z = 0.00001 - HB models (Mass of the RGB progenitor: M=0.80 Mo)

M = 0.5165 Mo M = 0.5170 Mo M = 0.5200 Mo M = 0.5250 Mo M = 0.5300 Mo
M = 0.5350 Mo M = 0.5400 Mo M = 0.5450 Mo M = 0.5500 Mo M = 0.5600 Mo
M = 0.5700 Mo M = 0.5800 Mo M = 0.5900 Mo M = 0.6000 Mo M = 0.6100 Mo
M = 0.6200 Mo M = 0.6300 Mo M = 0.6400 Mo M = 0.6500 Mo M = 0.6600 Mo
M = 0.6800 Mo M = 0.7000 Mo M = 0.7500 Mo M = 0.8000 Mo M = 0.8500 Mo
M = 0.9000 Mo M = 0.9500 Mo

Download all HB tracks (as a single .tar.gz file)

UBVRIJKL bands
ACS HST bands
Stroemgren bands
Sloan bands
Walraven bands
WFC2 HST bands
WFC3 HST bands
WFC3-IR HST bands

The "ZAHB" locus

UBVRIJKL bands
ACS HST bands
Stroemgren bands
Sloan bands
Walraven bands
WFC2 HST bands
WFC3 HST bands
WFC3-IR HST bands

"End of the core He burning" locus

UBVRIJKL bands
ACS HST bands
Stroemgren bands
Sloan bands
Walraven bands
WFC2 HST bands
WFC3 HST bands
WFC3-IR HST bands

Click to enlarge


Download all isochrones (as a single .tar.gz file)

Y=0.245, Z = 0.0001 - Isochrones (Age: 30 - 14500 Myr)

UBVRIJKL bands ACS HST bands
Stroemgren bands Sloan bands
Walraven bands WFC2 HST bands
WFC3 HST bands WFC3-IR HST bands


List of metallicities