You are now in:
BASTI Home / Alpha Enhanced (F05) Models / Canonical Models / List of metallicities / Z=0.001


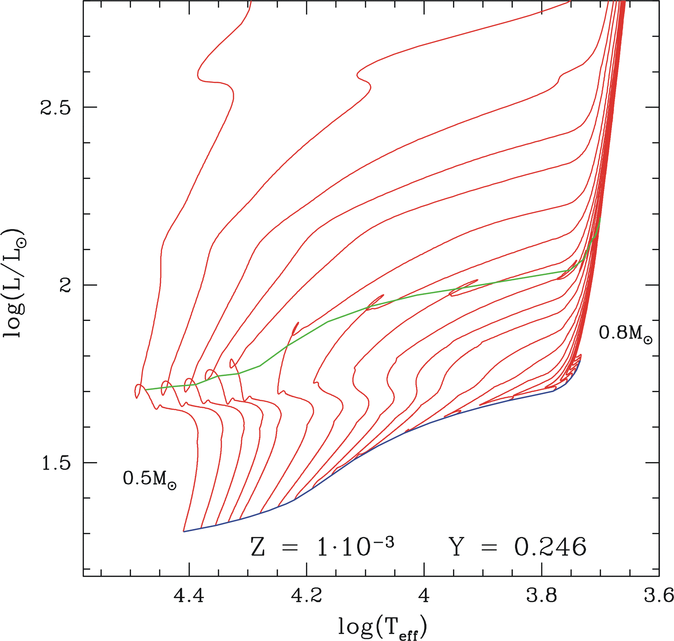
Y= 0.246, Z = 0.001 - Evolutionary models

M = 0.50 Mo M = 0.55 Mo M = 0.60 Mo M = 0.70 Mo M = 0.75 Mo
M = 0.80 Mo M = 0.90 Mo M = 1.00 Mo M = 1.10 Mo M = 1.20 Mo
M = 1.30 Mo M = 1.40 Mo M = 1.50 Mo M = 1.60 Mo M = 1.70 Mo
M = 1.80 Mo M = 1.90 Mo M = 2.00 Mo M = 2.20 Mo M = 2.40 Mo
M = 2.60 Mo M = 2.80 Mo M = 3.00 Mo M = 3.50 Mo M = 4.00 Mo
M = 4.50 Mo M = 5.00 Mo M = 5.50 Mo M = 6.00 Mo M = 6.50 Mo
M = 7.00 Mo M = 7.50 Mo M = 8.00 Mo M = 8.50 Mo M = 9.00 Mo
M = 9.50 Mo M = 10.00 Mo

Download all tracks (as a single .tar.gz file)

UBVRIJKL bands ACS HST bands
Stroemgren bands Sloan bands
Walraven bands WFC2 HST bands
WFC3 HST bands WFC3-IR HST bands

TABLE by PIETRINFERNI A. - CASSISI S. - SALARIS M. - CASTELLI F. - 2007 standard alpha-enhanced Z= .0010 Y= .2460
ZAMS end central H Tip RGB ZAHB end central He first THERMAL PULSE
M log(L) log(Te) Mcc Mc_He t_Hb log(L) log(Te) He_sur Age Mc_He Mcc Mc_He Mc_CO t_Heb Mc_CO Mc_He log(L) log(Te) Age
.7500 -.3777 3.7608 .0714 .0981 15961.39 3.3694 3.6070 .2570 16987.68 .4918 .1269 .4918 .1579 98.33 .4578 .4978 3.0057 3.6558 17145.93
.8000 -.2462 3.7790 .0704 .1018 12528.08 3.3698 3.6005 .2590 13397.27 .4908 .1254 .4980 .1625 91.35 .4758 .5116 3.2494 3.6181 13545.93
.9000 -.0134 3.8095 .0844 .1108 8095.93 3.3663 3.6020 .2630 8706.87 .4887 .1235 .5126 .1687 88.37 .4938 .5258 3.3055 3.6107 8845.26
1.0000 .2123 3.8406 .0220 .1189 5413.79 3.3598 3.6072 .2650 5919.12 .4867 .1250 .5197 .2084 85.40 .5028 .5322 3.4728 3.6009 6050.08
1.1000 .3974 3.8712 .0343 .1265 3830.12 3.3531 3.6129 .2670 4225.07 .4848 .1222 .5259 .1740 86.00 .5119 .5417 3.4846 3.6033 4350.81
1.2000 .5565 3.9074 .0502 .1332 2823.14 3.3475 3.6181 .2680 3123.85 .4834 .1231 .5317 .1796 85.76 .5180 .5470 3.5143 3.6052 3246.73
1.3000 .7070 3.9419 .0607 .1443 2125.55 3.3426 3.6223 .2680 2380.52 .4823 .1207 .5371 .1784 84.97 .5226 .5506 3.5012 3.6103 2499.48
1.4000 .8440 3.9736 .0805 .1498 1633.53 3.3386 3.6268 .2660 1859.14 .4816 .1217 .5415 .2131 84.39 .5298 .5569 3.5537 3.6099 1975.11
1.5000 .9698 4.0022 .0981 .1546 1280.25 3.3343 3.6305 .2650 1485.65 .4809 .1203 .5468 .1835 83.36 .5345 .5592 3.4569 3.6222 1597.78
1.6000 1.0845 4.0283 .1237 .1649 1034.06 3.3277 3.6343 .2640 1209.34 .4798 .1226 .5526 .1811 81.07 .5416 .5661 3.5405 3.6185 1317.81
1.7000 1.1909 4.0521 .1474 .1819 853.41 3.3209 3.6376 .2630 1001.14 .4785 .1193 .5613 .2232 82.29 .5509 .5741 3.5792 3.6186 1108.05
1.8000 1.2860 4.0737 .1858 .1863 727.95 3.3000 3.6418 .2610 842.73 .4747 .1216 .5669 .1883 80.89 .5575 .5789 3.5361 3.6252 946.49
1.9000 1.3757 4.0933 .2356 .1969 627.64 3.2604 3.6471 .2600 716.79 .4675 .1194 .5734 .2286 81.29 .5663 .5882 3.6689 3.6169 819.13
2.0000 1.4583 4.1106 .2854 .2060 550.54 3.1560 3.6563 .2600 617.36 .4519 .1150 .5781 .2100 86.45 .5698 .5905 3.6331 3.6231 723.76
2.2000 1.6128 4.1383 .3843 .2304 433.89 2.4079 3.7041 .2580 458.41 .3333 .0449 .5805 .2353 148.97 .5738 .5947 3.6851 3.6236 622.51
2.4000 1.7487 4.1644 .4639 .2500 352.51 2.3005 3.7127 .2540 367.72 .3380 .0730 .6221 .2370 121.64 .6195 .6348 3.7956 3.6188 499.23
2.6000 1.8718 4.1868 .5415 .2734 292.54 2.3396 3.7143 .2510 303.19 .3581 .0745 .6651 .2325 94.88 .6655 .6775 3.8628 3.6182 405.07
2.8000 1.9878 4.2009 .6211 .2969 244.07 2.4066 3.7142 .2490 254.24 .3811 .0836 .7110 .2358 75.52 .7045 .7165 3.9637 3.6142 335.10

M Stellar mass (solar units)
L Surface luminosity (solar units)
Te Effective temperature (Kelvin)
Mcc Mass of convective core (solar units)
Mc_He Mass of He-core (solar units)
t_Hb Central H-burning lifetime (10^6 year)
Age Structure age (10^6 year)
He_sur Surface He mass fraction
Mc_CO Mass of CO-core (solar units)
t_Heb Central He-burning lifetime (10^6 year)

See table in ASCII format


TABLE by PIETRINFERNI A. - CASSISI S. - SALARIS M. - CASTELLI F. - 2007 standard alpha-enhanced Z= .0010 Y= .2460
ZAMS end central H ZAHB end central He second dr. up first THERMAL PULSE
M log(L) log(Te) Mcc Mc_He t_Hb Mc_He Mcc Mc_He Mc_CO t_Heb Mc_CO log(L) Mc_CO Mc_He log(L) log(Te) Age
3.0000 2.0902 4.2225 .6943 .3181 209.73 .4061 .0897 .7618 .3051 61.99 no dredge up .7576 .7646 4.0230 3.6133 282.45
3.5000 2.3263 4.2567 .8628 .3767 147.75 .4700 .1129 .8855 .3565 39.43 .7812 4.1626 .8010 .8061 4.1419 3.6135 194.33
4.0000 2.5241 4.2881 1.0330 .4400 110.38 .5391 .1355 1.0142 .4596 27.03 .8019 4.1870 .8199 .8246 4.1695 3.6199 142.19
4.5000 2.6958 4.3133 1.2087 .4995 85.15 .6150 .1545 1.1456 .4876 19.41 .8276 4.2103 .8433 .8472 4.2255 3.6227 108.15
5.0000 2.8473 4.3378 1.4023 .5550 67.90 .6897 .1775 1.2734 .5623 14.40 .8531 4.2357 .8685 .8718 4.2775 3.6250 84.96
5.5000 2.9825 4.3583 1.5748 .6265 55.68 .7746 .2026 1.4172 .6459 11.38 .8988 4.2877 .9083 .9108 4.3436 3.6263 69.07
6.0000 3.1045 4.3765 1.7654 .6933 46.72 .8503 .2292 1.5495 .7016 9.07 .9323 4.3025 .9465 .9483 4.4521 3.6223 57.34
6.5000 3.2155 4.3940 1.9687 .7867 40.04 .9314 .2559 1.6926 .7472 7.39 no dredge up ---- CARBON IGNITION ----
7.0000 3.3172 4.4091 2.1557 .8602 34.81 1.0197 .2847 1.8385 .8286 6.21 no dredge up ---- CARBON IGNITION ----
7.5000 3.4110 4.4229 2.3761 .9606 30.68 1.1146 .3140 1.9882 .9077 5.27 no dredge up ---- CARBON IGNITION ----
8.0000 3.4979 4.4355 2.5791 1.0640 27.35 1.2090 .3466 2.1248 .9296 4.57 no dredge up ---- CARBON IGNITION ----
8.5000 3.5788 4.4482 2.7916 1.1709 24.66 1.3056 .3838 2.2821 1.0340 4.05 no dredge up ---- CARBON IGNITION ----
9.0000 3.6544 4.4592 3.0212 1.2893 22.40 1.4181 .4235 2.4533 1.1305 3.60 no dredge up ---- CARBON IGNITION ----
9.5000 3.7253 4.4694 3.2391 1.4051 20.51 1.5248 .4634 2.6079 1.2157 3.30 no dredge up ---- CARBON IGNITION ----
10.0000 3.7920 4.4790 3.4816 1.5118 18.91 1.6450 .5059 2.7730 1.3161 3.01 no dredge up ---- CARBON IGNITION ----

M Stellar mass (solar units)
L Surface luminosity (solar units)
Te Effective temperature (Kelvin)
Mcc Mass of convective core (solar units)
Mc_He Mass of He-core (solar units)
t_Hb Central H-burning lifetime (10^6 year)
Mc_CO Mass of CO-core (solar units)
t_Heb Central He-burning lifetime (10^6 year)
Age Structure age (10^6 year)

See table in ASCII format


Click to enlarge Click to enlarge


Y=0.246, Z = 0.001 - HB models (Mass of the RGB progenitor: M=0.80 Mo)

M = 0.4912 Mo M = 0.4915 Mo M = 0.4920 Mo M = 0.4950 Mo M = 0.5000 Mo
M = 0.5050 Mo M = 0.5100 Mo M = 0.5150 Mo M = 0.5200 Mo M = 0.5250 Mo
M = 0.5300 Mo M = 0.5350 Mo M = 0.5400 Mo M = 0.5450 Mo M = 0.5500 Mo
M = 0.5600 Mo M = 0.5700 Mo M = 0.5800 Mo M = 0.5900 Mo M = 0.6000 Mo
M = 0.6100 Mo M = 0.6200 Mo M = 0.6300 Mo M = 0.6400 Mo M = 0.6500 Mo
M = 0.6600 Mo M = 0.6700 Mo M = 0.6800 Mo M = 0.6900 Mo M = 0.7000 Mo
M = 0.7200 Mo M = 0.7400 Mo M = 0.7600 Mo M = 0.7800 Mo M = 0.8000 Mo

Download all HB tracks (as a single .tar.gz file)

UBVRIJKL bands
ACS HST bands
Stroemgren bands
Sloan bands
Walraven bands
WFC2 HST bands
WFC3 HST bands
WFC3-IR HST bands

The "ZAHB" locus

UBVRIJKL bands
ACS HST bands
Stroemgren bands
Sloan bands
Walraven bands
WFC2 HST bands
WFC3 HST bands
WFC3-IR HST bands

"End of the core He burning" locus

UBVRIJKL bands
ACS HST bands
Stroemgren bands
Sloan bands
Walraven bands
WFC2 HST bands
WFC3 HST bands
WFC3-IR HST bands

Click to enlarge


Download all isochrones (as a single .tar.gz file)

Y=0.246, Z = 0.001 - Isochrones (Age: 30 - 14000 Myr)

UBVRIJKL bands ACS HST bands
Stroemgren bands Sloan bands
Walraven bands WFC2 HST bands
WFC3 HST bands WFC3-IR HST bands


List of metallicities