You are now in:
BASTI Home / Alpha Enhanced (F05) Models / Canonical Models / List of metallicities / Z=0.01


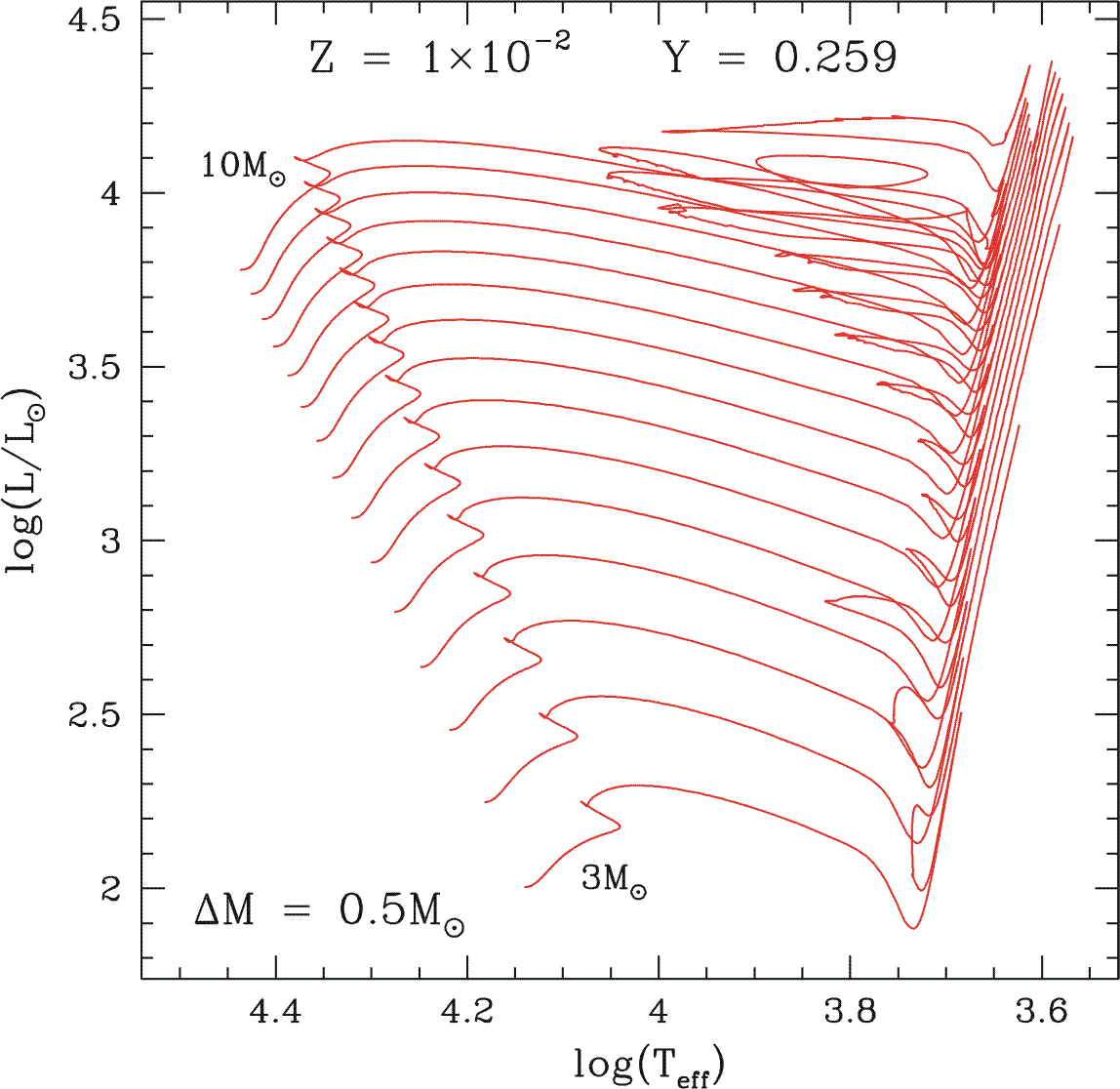
Y= 0.259, Z = 0.01 - Evolutionary models

M = 0.50 Mo M = 0.55 Mo M = 0.60 Mo M = 0.70 Mo M = 0.80 Mo
M = 0.90 Mo M = 1.00 Mo M = 1.10 Mo M = 1.20 Mo M = 1.30 Mo
M = 1.40 Mo M = 1.50 Mo M = 1.60 Mo M = 1.70 Mo M = 1.80 Mo
M = 1.90 Mo M = 2.00 Mo M = 2.20 Mo M = 2.40 Mo M = 2.60 Mo
M = 2.80 Mo M = 3.00 Mo M = 3.50 Mo M = 4.00 Mo M = 4.50 Mo
M = 5.00 Mo M = 5.50 Mo M = 6.00 Mo M = 6.50 Mo M = 7.00 Mo
M = 7.50 Mo M = 8.00 Mo M = 8.50 Mo M = 9.00 Mo M = 9.50 Mo
M = 10.00 Mo

Download all tracks (as a single .tar.gz file)

UBVRIJKL bands ACS HST bands
Stroemgren bands Sloan bands
Walraven bands WFC2 HST bands
WFC3 HST bands WFC3-IR HST bands

TABLE by PIETRINFERNI A. - CASSISI S. - SALARIS M. - CASTELLI F. - 2007 standard alpha-enhanced Z= .0100 Y= .2590
ZAMS end central H Tip RGB ZAHB end central He first THERMAL PULSE
M log(L) log(Te) Mcc Mc_He t_Hb log(L) log(Te) He_sur Age Mc_He Mcc Mc_He Mc_CO t_Heb Mc_CO Mc_He log(L) log(Te) Age
.9000 -.2060 3.7595 .0168 .0847 11953.01 3.4368 3.5124 .2790 13210.89 .4783 .1169 .5008 .1840 99.34 .4827 .5151 3.4400 3.5234 13413.93
1.0000 .0170 3.7861 .0000 .0902 7770.65 3.4375 3.5205 .2810 8858.51 .4774 .1167 .5072 .1601 96.19 .4910 .5214 3.3985 3.5283 9045.62
1.1000 .2165 3.8086 .0010 .1003 5272.19 3.4367 3.5301 .2810 6173.67 .4767 .1163 .5117 .1645 96.47 .4972 .5271 3.4005 3.5360 6350.49
1.2000 .3900 3.8302 .0093 .1088 3767.63 3.4368 3.5376 .2800 4470.01 .4765 .1157 .5146 .1643 95.38 .5006 .5301 3.4377 3.5385 4639.96
1.3000 .5515 3.8541 .0209 .1192 2750.57 3.4361 3.5449 .2790 3344.41 .4763 .1163 .5173 .1644 94.09 .5036 .5326 3.4451 3.5417 3505.63
1.4000 .6980 3.8850 .0417 .1296 2092.55 3.4355 3.5496 .2770 2577.60 .4763 .1152 .5201 .1629 93.06 .5071 .5353 3.4694 3.5458 2730.29
1.5000 .8314 3.9163 .0721 .1454 1634.10 3.4350 3.5553 .2750 2027.56 .4763 .1152 .5213 .1643 92.39 .5094 .5377 3.5052 3.5486 2175.16
1.6000 .9547 3.9444 .1146 .1608 1301.34 3.4344 3.5594 .2730 1621.59 .4762 .1164 .5236 .1638 91.56 .5098 .5381 3.4880 3.5569 1765.93
1.7000 1.0627 3.9689 .1518 .1639 1084.35 3.4302 3.5641 .2710 1314.30 .4756 .1150 .5251 .1677 92.86 .5145 .5427 3.5753 3.5505 1453.25
1.8000 1.1630 3.9907 .1898 .1740 924.36 3.4160 3.5688 .2700 1080.68 .4730 .1144 .5254 .2123 94.39 .5136 .5414 3.5340 3.5579 1214.73
1.9000 1.2563 4.0083 .2458 .1838 780.93 3.3856 3.5758 .2690 900.19 .4672 .1130 .5231 .1712 95.12 .5097 .5383 3.5175 3.5642 1036.91
2.0000 1.3425 4.0237 .2894 .1936 675.42 3.3205 3.5862 .2680 766.94 .4550 .1087 .5158 .1985 101.99 .5013 .5306 3.4017 3.5798 907.08
2.2000 1.5004 4.0527 .3663 .2190 524.73 3.0782 3.6140 .2700 580.74 .4152 .0946 .4976 .1613 130.20 .4814 .5143 3.3304 3.5932 743.44
2.4000 1.6430 4.0791 .4376 .2385 419.69 2.4823 3.6656 .2710 447.45 .3305 .0335 .4739 .1752 222.99 .4579 .4954 3.1874 3.6114 696.27
2.6000 1.7731 4.1006 .4973 .2606 339.59 2.4316 3.6736 .2730 361.43 .3388 .0636 .4989 .1883 182.42 .4830 .5159 3.3261 3.6042 562.82
2.8000 1.8924 4.1228 .5607 .2848 283.33 2.4490 3.6767 .2730 298.32 .3566 .0744 .5324 .1859 139.82 .5213 .5479 3.5552 3.5876 452.00

M Stellar mass (solar units)
L Surface luminosity (solar units)
Te Effective temperature (Kelvin)
Mcc Mass of convective core (solar units)
Mc_He Mass of He-core (solar units)
t_Hb Central H-burning lifetime (10^6 year)
Age Structure age (10^6 year)
He_sur Surface He mass fraction
Mc_CO Mass of CO-core (solar units)
t_Heb Central He-burning lifetime (10^6 year)

See table in ASCII format


TABLE by PIETRINFERNI A. - CASSISI S. - SALARIS M. - CASTELLI F. - 2007 standard alpha-enhanced Z= .0100 Y= .2590
ZAMS end central H ZAHB end central He second dr. up first THERMAL PULSE
M log(L) log(Te) Mcc Mc_He t_Hb Mc_He Mcc Mc_He Mc_CO t_Heb Mc_CO log(L) Mc_CO Mc_He log(L) log(Te) Age
3.0000 2.0044 4.1414 .6215 .2988 237.32 .3783 .0836 .5754 .2278 107.75 no dredge up .5674 .5880 3.6822 3.5800 366.14
3.5000 2.2478 4.1829 .7847 .3629 162.75 .4382 .1025 .7030 .2434 59.42 no dredge up .7008 .7105 3.9710 3.5619 233.77
4.0000 2.4554 4.2180 .9434 .4198 118.36 .5034 .1241 .8249 .3644 38.12 .7528 4.1207 .7858 .7915 4.1517 3.5543 164.08
4.5000 2.6363 4.2494 1.1015 .4816 87.00 .5705 .1459 .9361 .4127 26.53 .7770 4.1641 .8042 .8094 4.1757 3.5603 118.85
5.0000 2.7951 4.2761 1.2697 .5351 68.38 .6423 .1666 1.0504 .3849 19.88 .8083 4.2068 .8273 .8317 4.2464 3.5614 92.10
5.5000 2.9369 4.3007 1.4512 .6047 55.55 .7154 .1921 1.1737 .5348 14.89 .8297 4.2297 .8485 .8523 4.2918 3.5650 73.25
6.0000 3.0646 4.3207 1.6153 .6553 46.03 .7907 .2198 1.3134 .6004 11.84 .8636 4.2608 .8819 .8849 4.3594 3.5645 60.08
6.5000 3.1805 4.3399 1.7960 .7405 39.12 .8760 .2440 1.4509 .6443 9.46 .9041 4.3055 .9139 .9163 4.4406 3.5624 50.28
7.0000 3.2866 4.3576 1.9914 .8134 33.83 .9639 .2744 1.5972 .7145 7.78 .9463 4.3333 .9591 .9607 4.5976 3.5543 42.92
7.5000 3.3843 4.3738 2.1876 .9084 29.69 1.0554 .3042 1.7615 .8516 6.67 no dredge up ---- CARBON IGNITION ----
8.0000 3.4746 4.3877 2.3944 1.0265 26.32 1.1494 .3380 1.9204 .8731 5.48 no dredge up ---- CARBON IGNITION ----
8.5000 3.5585 4.4015 2.6218 1.1166 23.64 1.2520 .3757 2.0830 .9962 5.01 no dredge up ---- CARBON IGNITION ----
9.0000 3.6366 4.4147 2.8429 1.2536 21.44 1.3668 .4139 2.2006 1.0970 4.62 no dredge up ---- CARBON IGNITION ----
9.5000 3.7099 4.4259 3.0715 1.3458 19.55 1.4872 .4581 2.1841 1.0744 4.04 no dredge up ---- CARBON IGNITION ----
10.0000 3.7787 4.4364 3.2656 1.4776 17.95 1.6153 .5138 2.5042 1.2598 3.51 no dredge up ---- CARBON IGNITION ----

M Stellar mass (solar units)
L Surface luminosity (solar units)
Te Effective temperature (Kelvin)
Mcc Mass of convective core (solar units)
Mc_He Mass of He-core (solar units)
t_Hb Central H-burning lifetime (10^6 year)
Mc_CO Mass of CO-core (solar units)
t_Heb Central He-burning lifetime (10^6 year)
Age Structure age (10^6 year)

See table in ASCII format


Click to enlarge Click to enlarge


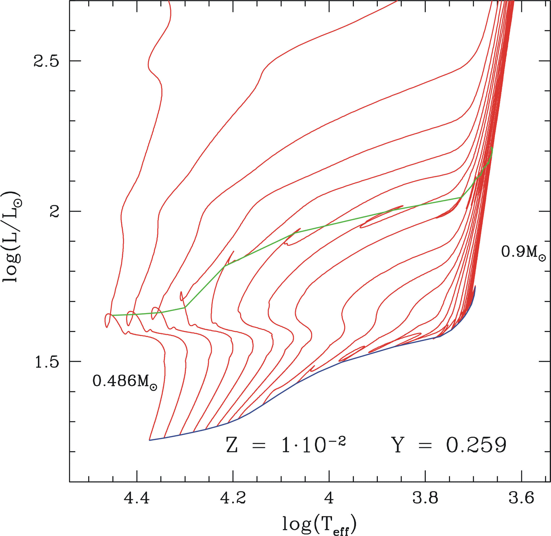
Y=0.259, Z = 0.01 - HB models (Mass of the RGB progenitor: M=0.90 Mo)

M = 0.4788 Mo M = 0.4790 Mo M = 0.4800 Mo M = 0.4850 Mo M = 0.4900 Mo
M = 0.4950 Mo M = 0.5000 Mo M = 0.5050 Mo M = 0.5100 Mo M = 0.5150 Mo
M = 0.5200 Mo M = 0.5250 Mo M = 0.5300 Mo M = 0.5350 Mo M = 0.5400 Mo
M = 0.5450 Mo M = 0.5500 Mo M = 0.5600 Mo M = 0.5700 Mo M = 0.5800 Mo
M = 0.5900 Mo M = 0.6000 Mo M = 0.6100 Mo M = 0.6200 Mo M = 0.6300 Mo
M = 0.6400 Mo M = 0.6500 Mo M = 0.6600 Mo M = 0.6700 Mo M = 0.6800 Mo
M = 0.6900 Mo M = 0.7000 Mo M = 0.7200 Mo M = 0.7400 Mo M = 0.7600 Mo
M = 0.7800 Mo M = 0.8000 Mo M = 0.8200 Mo M = 0.8400 Mo M = 0.8600 Mo
M = 0.8800 Mo M = 0.9000 Mo

Download all HB tracks (as a single .tar.gz file)

UBVRIJKL bands
ACS HST bands
Stroemgren bands
Sloan bands
Walraven bands
WFC2 HST bands
WFC3 HST bands
WFC3-IR HST bands

The "ZAHB" locus

UBVRIJKL bands
ACS HST bands
Stroemgren bands
Sloan bands
Walraven bands
WFC2 HST bands
WFC3 HST bands
WFC3-IR HST bands

"End of the core He burning" locus

UBVRIJKL bands
ACS HST bands
Stroemgren bands
Sloan bands
Walraven bands
WFC2 HST bands
WFC3 HST bands
WFC3-IR HST bands

Click to enlarge


Download all isochrones (as a single .tar.gz file)

Y=0.259, Z = 0.01 - Isochrones (Age: 30 - 14500 Myr)

UBVRIJKL bands ACS HST bands
Stroemgren bands Sloan bands
Walraven bands WFC2 HST bands
WFC3 HST bands WFC3-IR HST bands


List of metallicities