You are now in:
BASTI Home / Alpha Enhanced (F05) Models / Canonical Models / List of metallicities / Z=0.0198


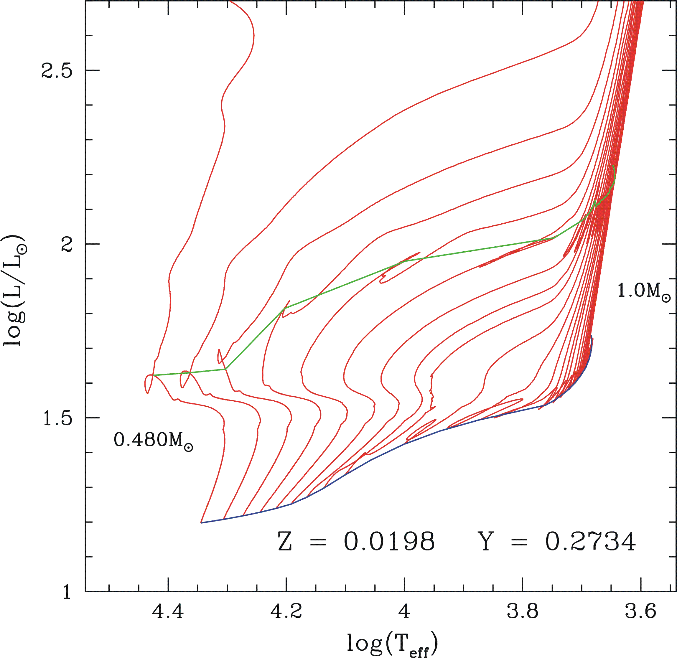
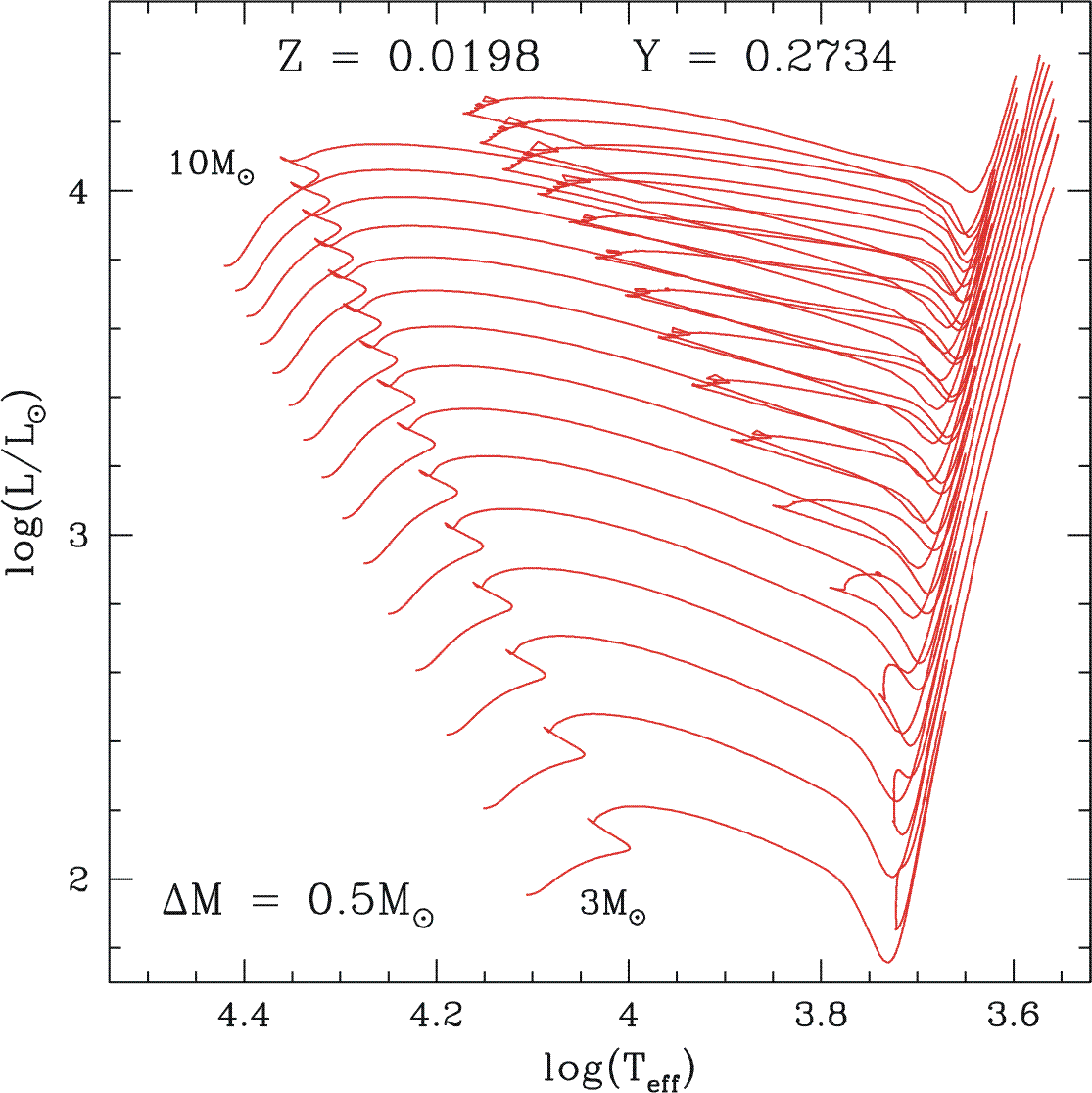
Y= 0.2734, Z = 0.0198 - Evolutionary models

M = 0.50 Mo M = 0.55 Mo M = 0.60 Mo M = 0.70 Mo M = 0.80 Mo
M = 0.90 Mo M = 1.00 Mo M = 1.10 Mo M = 1.20 Mo M = 1.30 Mo
M = 1.40 Mo M = 1.50 Mo M = 1.60 Mo M = 1.70 Mo M = 1.80 Mo
M = 1.90 Mo M = 2.00 Mo M = 2.20 Mo M = 2.40 Mo M = 2.60 Mo
M = 2.80 Mo M = 3.00 Mo M = 3.50 Mo M = 4.00 Mo M = 4.50 Mo
M = 5.00 Mo M = 5.50 Mo M = 6.00 Mo M = 6.50 Mo M = 7.00 Mo
M = 7.50 Mo M = 8.00 Mo M = 8.50 Mo M = 9.00 Mo M = 9.50 Mo
M = 10.00 Mo

Download all tracks (as a single .tar.gz file)

UBVRIJKL bands ACS HST bands
Stroemgren bands Sloan bands
Walraven bands WFC2 HST bands
WFC3 HST bands WFC3-IR HST bands

TABLE by PIETRINFERNI A. - CASSISI S. - SALARIS M. - CASTELLI F. - 2007 standard alpha-enhanced Z= .0198 Y= .2734
ZAMS end central H Tip RGB ZAHB end central He first THERMAL PULSE
M log(L) log(Te) Mcc Mc_He t_Hb log(L) log(Te) He_sur Age Mc_He Mcc Mc_He Mc_CO t_Heb Mc_CO Mc_He log(L) log(Te) Age
.9000 -.3123 3.7333 .0000 .0823 14712.31 3.4451 3.4732 .2940 16283.53 .4724 .1120 .4934 .1921 104.24 .4791 .5112 3.3612 3.5115 16510.83
1.0000 -.1078 3.7621 .0000 .0847 9669.20 3.4479 3.4843 .2960 10882.38 .4716 .1120 .5011 .1919 100.33 .4890 .5190 3.3914 3.4972 11092.43
1.1000 .1018 3.7852 .0000 .0900 6498.36 3.4489 3.4955 .2960 7525.82 .4711 .1118 .5057 .1959 100.38 .4959 .5251 3.4050 3.5037 7724.48
1.2000 .2892 3.8059 .0000 .1000 4510.38 3.4493 3.5055 .2940 5388.41 .4709 .1121 .5083 .1966 99.04 .4982 .5271 3.4133 3.5113 5575.62
1.3000 .4589 3.8258 .0043 .1100 3239.97 3.4496 3.5140 .2930 3987.21 .4709 .1110 .5109 .1970 98.18 .5012 .5291 3.4766 3.5107 4165.25
1.4000 .6114 3.8480 .0298 .1141 2361.12 3.4495 3.5205 .2900 3035.69 .4710 .1111 .5127 .1558 97.01 .5033 .5314 3.4528 3.5209 3205.25
1.5000 .7633 3.8764 .0709 .1282 1693.50 3.4493 3.5260 .2880 2373.09 .4710 .1119 .5143 .1558 96.03 .5046 .5326 3.4559 3.5235 2536.23
1.6000 .8762 3.9044 .1046 .1407 1445.97 3.4484 3.5323 .2860 1888.94 .4710 .1118 .5169 .2141 96.42 .5049 .5332 3.4414 3.5381 2046.07
1.7000 .9864 3.9291 .1415 .1588 1232.60 3.4469 3.5368 .2850 1515.76 .4709 .1109 .5193 .2084 96.76 .5092 .5375 3.5578 3.5229 1668.96
1.8000 1.0896 3.9510 .1772 .1708 1040.51 3.4391 3.5422 .2830 1236.85 .4694 .1110 .5194 .2064 96.92 .5086 .5375 3.5624 3.5266 1382.83
1.9000 1.1853 3.9706 .2235 .1829 883.23 3.4195 3.5475 .2820 1026.82 .4659 .1097 .5182 .1989 98.43 .5079 .5355 3.4823 3.5415 1168.31
2.0000 1.2741 3.9873 .2637 .1917 761.10 3.3662 3.5578 .2810 860.21 .4558 .1062 .5128 .1834 104.36 .4998 .5292 3.4291 3.5524 1010.45
2.2000 1.4362 4.0160 .3478 .2124 575.92 3.2084 3.5808 .2820 639.99 .4279 .0970 .4981 .1861 122.17 .4895 .5194 3.3933 3.5640 801.93
2.4000 1.5828 4.0400 .4059 .2334 448.24 2.3794 3.6550 .2830 487.91 .3284 .0276 .4578 .1666 246.61 .4509 .4906 3.2361 3.5854 770.15
2.6000 1.7163 4.0637 .4609 .2564 361.52 2.4453 3.6551 .2850 391.07 .3342 .0781 .4743 .1716 216.62 .4668 .5018 3.2525 3.5891 633.22
2.8000 1.8391 4.0868 .5248 .2771 299.29 2.4388 3.6603 .2860 319.54 .3501 .0904 .4958 .1941 173.61 .4897 .5193 3.3995 3.5803 512.78

M Stellar mass (solar units)
L Surface luminosity (solar units)
Te Effective temperature (Kelvin)
Mcc Mass of convective core (solar units)
Mc_He Mass of He-core (solar units)
t_Hb Central H-burning lifetime (10^6 year)
Age Structure age (10^6 year)
He_sur Surface He mass fraction
Mc_CO Mass of CO-core (solar units)
t_Heb Central He-burning lifetime (10^6 year)

See table in ASCII format


TABLE by PIETRINFERNI A. - CASSISI S. - SALARIS M. - CASTELLI F. - 2007 standard alpha-enhanced Z= .0198 Y= .2734
ZAMS end central H ZAHB end central He second dr. up first THERMAL PULSE
M log(L) log(Te) Mcc Mc_He t_Hb Mc_He Mcc Mc_He Mc_CO t_Heb Mc_CO log(L) Mc_CO Mc_He log(L) log(Te) Age
3.0000 1.9536 4.1053 .5827 .2973 246.89 .3693 .0811 .5248 .1966 138.50 no dredge up .5160 .5422 3.4839 3.5769 416.30
3.5000 2.2051 4.1515 .7327 .3512 168.30 .4273 .0973 .6202 .2266 77.16 no dredge up .6166 .6320 3.8348 3.5518 260.89
4.0000 2.4195 4.1890 .8770 .4148 120.72 .4913 .1193 .7427 .3122 45.56 no dredge up .7418 .7495 4.1162 3.5319 175.68
4.5000 2.6068 4.2217 1.0306 .4770 87.00 .5595 .1406 .8741 .3719 30.18 .7428 4.0874 .7890 .7944 4.1913 3.5359 123.60
5.0000 2.7708 4.2509 1.1917 .5302 67.81 .6311 .1615 1.0002 .3690 21.51 .7708 4.1385 .8106 .8154 4.2510 3.5365 93.83
5.5000 2.9169 4.2757 1.3599 .5927 54.40 .7045 .1836 1.1289 .4253 16.15 .8142 4.2204 .8375 .8414 4.2867 3.5414 73.96
6.0000 3.0482 4.2980 1.5236 .6520 44.87 .7789 .2098 1.2757 .5984 13.17 .8543 4.2622 .8726 .8757 4.3590 3.5408 60.50
6.5000 3.1677 4.3194 1.7150 .7351 37.97 .8630 .2353 1.4046 .6120 10.15 .8854 4.2920 .9018 .9043 4.4375 3.5390 49.94
7.0000 3.2767 4.3377 1.8823 .8134 32.63 .9478 .2644 1.5515 .7145 8.37 no dredge up .9455 .9472 4.5834 3.5307 42.41
7.5000 3.3770 4.3548 2.0703 .9042 28.49 1.0401 .2945 1.6959 .7814 6.89 no dredge up ---- CARBON IGNITION ----
8.0000 3.4696 4.3694 2.2892 .9999 25.14 1.1377 .3305 1.8482 .8489 5.82 no dredge up ---- CARBON IGNITION ----
8.5000 3.5555 4.3839 2.4924 1.1031 22.51 1.2378 .3668 2.0048 .9688 5.12 no dredge up ---- CARBON IGNITION ----
9.0000 3.6356 4.3977 2.7091 1.2229 20.36 1.3468 .4091 2.1360 .9838 4.52 no dredge up ---- CARBON IGNITION ----
9.5000 3.7104 4.4091 2.9126 1.3458 18.51 1.4686 .4531 2.3030 1.1497 4.20 no dredge up ---- CARBON IGNITION ----
10.0000 3.7807 4.4213 3.1628 1.4776 17.01 1.5915 .5040 2.4284 1.1002 3.57 no dredge up ---- CARBON IGNITION ----

M Stellar mass (solar units)
L Surface luminosity (solar units)
Te Effective temperature (Kelvin)
Mcc Mass of convective core (solar units)
Mc_He Mass of He-core (solar units)
t_Hb Central H-burning lifetime (10^6 year)
Mc_CO Mass of CO-core (solar units)
t_Heb Central He-burning lifetime (10^6 year)
Age Structure age (10^6 year)

See table in ASCII format


Click to enlarge Click to enlarge


Y=0.2734, Z = 0.0198 - HB models (Mass of the RGB progenitor: M=1.00 Mo)

M = 0.4723 Mo M = 0.4723 Mo M = 0.4730 Mo M = 0.4740 Mo M = 0.4760 Mo
M = 0.4800 Mo M = 0.4850 Mo M = 0.4900 Mo M = 0.4950 Mo M = 0.5000 Mo
M = 0.5050 Mo M = 0.5100 Mo M = 0.5150 Mo M = 0.5200 Mo M = 0.5250 Mo
M = 0.5300 Mo M = 0.5350 Mo M = 0.5400 Mo M = 0.5500 Mo M = 0.5550 Mo
M = 0.5600 Mo M = 0.5700 Mo M = 0.5800 Mo M = 0.5900 Mo M = 0.6000 Mo
M = 0.6100 Mo M = 0.6200 Mo M = 0.6300 Mo M = 0.6400 Mo M = 0.6500 Mo
M = 0.6600 Mo M = 0.6800 Mo M = 0.7000 Mo M = 0.7200 Mo M = 0.7400 Mo
M = 0.7600 Mo M = 0.7800 Mo M = 0.8000 Mo M = 0.8200 Mo M = 0.8400 Mo
M = 0.8600 Mo M = 0.8800 Mo M = 0.9000 Mo M = 0.9200 Mo M = 0.9400 Mo
M = 0.9600 Mo M = 0.9800 Mo M = 1.0000 Mo

Download all HB tracks (as a single .tar.gz file)

UBVRIJKL bands
ACS HST bands
Stroemgren bands
Sloan bands
Walraven bands
WFC2 HST bands
WFC3 HST bands
WFC3-IR HST bands

The "ZAHB" locus

UBVRIJKL bands
ACS HST bands
Stroemgren bands
Sloan bands
Walraven bands
WFC2 HST bands
WFC3 HST bands
WFC3-IR HST bands

"End of the core He burning" locus

UBVRIJKL bands
ACS HST bands
Stroemgren bands
Sloan bands
Walraven bands
WFC2 HST bands
WFC3 HST bands
WFC3-IR HST bands

Click to enlarge


Download all isochrones (as a single .tar.gz file)

Y=0.2734, Z = 0.0198 - Isochrones (Age: 30 - 14500 Myr)

UBVRIJKL bands ACS HST bands
Stroemgren bands Sloan bands
Walraven bands WFC2 HST bands
WFC3 HST bands WFC3-IR HST bands


List of metallicities