You are now in:
BASTI Home / Alpha Enhanced (F05) Models / Canonical Models / List of metallicities / Z=0.04


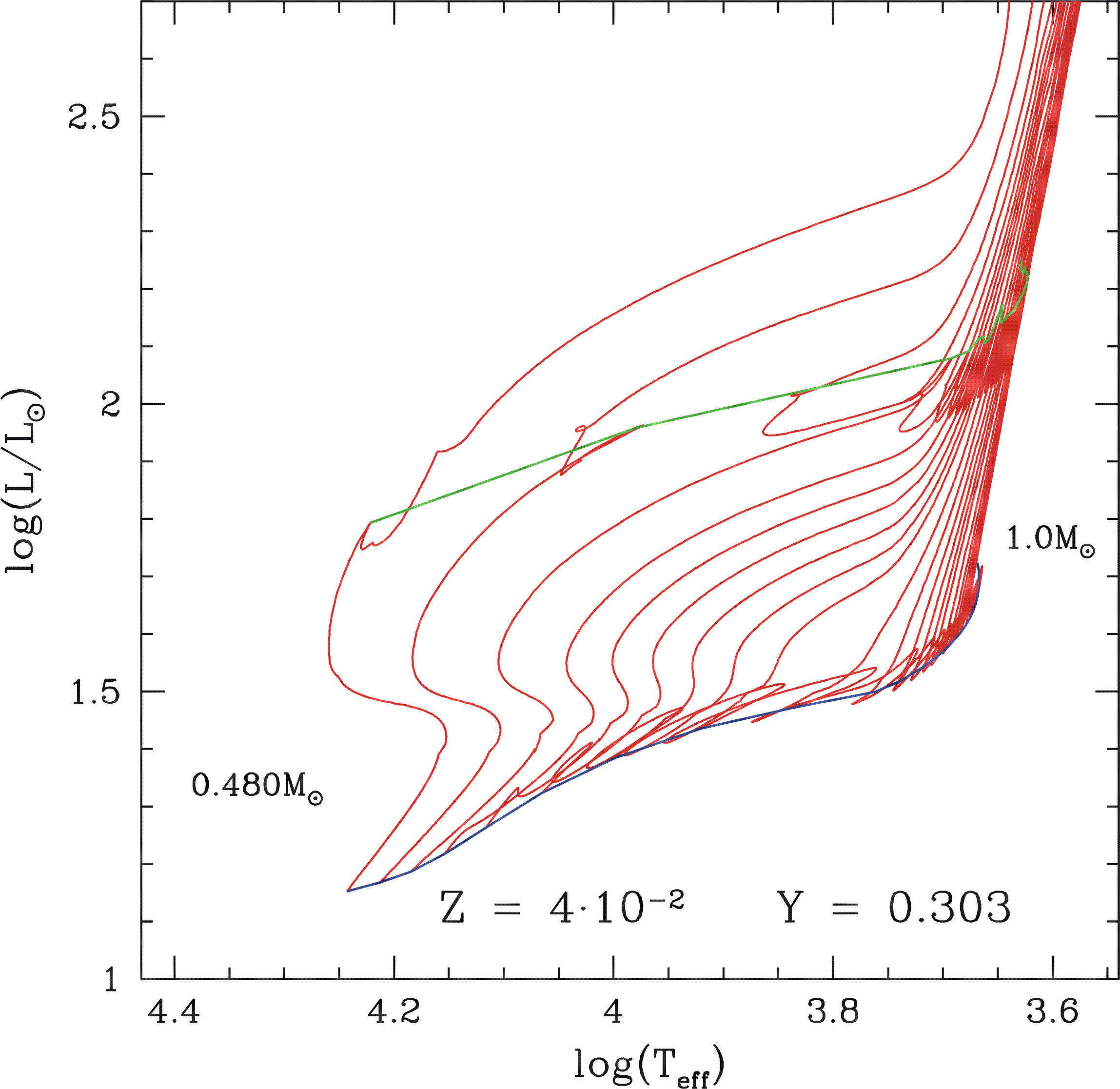
Y= 0.303, Z = 0.04 - Evolutionary models

M = 0.50 Mo M = 0.55 Mo M = 0.60 Mo M = 0.70 Mo M = 0.80 Mo
M = 0.90 Mo M = 1.00 Mo M = 1.10 Mo M = 1.20 Mo M = 1.30 Mo
M = 1.40 Mo M = 1.50 Mo M = 1.60 Mo M = 1.70 Mo M = 1.80 Mo
M = 1.90 Mo M = 2.00 Mo M = 2.20 Mo M = 2.40 Mo M = 2.60 Mo
M = 2.80 Mo M = 3.00 Mo M = 3.50 Mo M = 4.00 Mo M = 4.50 Mo
M = 5.00 Mo M = 5.50 Mo M = 6.00 Mo M = 6.50 Mo M = 7.00 Mo
M = 7.50 Mo M = 8.00 Mo M = 8.50 Mo M = 9.00 Mo M = 9.50 Mo
M = 10.00 Mo

Download all tracks (as a single .tar.gz file)

UBVRIJKL bands ACS HST bands
Stroemgren bands Sloan bands
Walraven bands WFC2 HST bands
WFC3 HST bands WFC3-IR HST bands

TABLE by PIETRINFERNI A. - CASSISI S. - SALARIS M. - CASTELLI F. - 2007 standard alpha-enhanced Z= .0400 Y= .3030
ZAMS end central H Tip RGB ZAHB end central He first THERMAL PULSE
M log(L) log(Te) Mcc Mc_He t_Hb log(L) log(Te) He_sur Age Mc_He Mcc Mc_He Mc_CO t_Heb Mc_CO Mc_He log(L) log(Te) Age
.9000 -.4005 3.7123 .0000 .0821 16713.12 3.4434 3.4380 .3230 18323.78 .4617 .1047 .4888 .1775 108.52 .4873 .5174 3.3318 3.5621 18571.83
1.0000 -.1902 3.7420 .0000 .0872 10927.00 3.4468 3.4429 .3240 12209.83 .4611 .1044 .4978 .1911 105.54 .5007 .5279 3.4539 3.4551 12436.05
1.1000 .0187 3.7669 .0000 .0904 7281.55 3.4491 3.4608 .3240 8412.85 .4608 .1044 .5027 .1470 103.04 .5071 .5331 3.4945 3.4542 8625.49
1.2000 .2068 3.7865 .0000 .0958 4998.48 3.4498 3.4725 .3220 5980.61 .4606 .1048 .5065 .1779 103.91 .5106 .5361 3.5173 3.4613 6181.16
1.3000 .3910 3.8074 .0089 .1058 3469.32 3.4505 3.4824 .3190 4389.35 .4607 .1044 .5080 .2034 103.42 .5096 .5354 3.5083 3.4735 4579.28
1.4000 .5567 3.8262 .0431 .1013 2261.33 3.4504 3.4900 .3170 3309.17 .4607 .1047 .5101 .2006 102.31 .5110 .5378 3.5689 3.4725 3490.29
1.5000 .6840 3.8457 .0766 .1253 1892.94 3.4509 3.4980 .3150 2562.54 .4609 .1051 .5121 .1899 100.82 .5139 .5389 3.5278 3.4868 2737.34
1.6000 .8068 3.8689 .1110 .1377 1549.17 3.4501 3.5036 .3130 2034.26 .4610 .1049 .5139 .1843 100.84 .5147 .5398 3.5294 3.4938 2202.58
1.7000 .9200 3.8928 .1499 .1516 1283.71 3.4477 3.5099 .3120 1631.82 .4606 .1048 .5156 .1841 100.33 .5167 .5415 3.5420 3.4984 1792.94
1.8000 1.0246 3.9140 .1831 .1664 1093.33 3.4405 3.5144 .3100 1329.38 .4593 .1038 .5156 .1840 100.76 .5152 .5409 3.5554 3.5019 1483.20
1.9000 1.1220 3.9334 .2119 .1814 935.93 3.4222 3.5219 .3090 1100.36 .4560 .1031 .5150 .1516 101.05 .5150 .5401 3.5314 3.5056 1247.74
2.0000 1.2132 3.9491 .2638 .1909 786.82 3.3807 3.5314 .3090 918.25 .4485 .1013 .5124 .1983 106.98 .5118 .5375 3.5393 3.5167 1070.83
2.2000 1.3806 3.9787 .3166 .2126 591.71 3.1861 3.5604 .3090 672.91 .4154 .0903 .4944 .1818 131.49 .5011 .5280 3.4953 3.5277 845.94
2.4000 1.5323 4.0046 .3677 .2342 455.21 2.7224 3.6095 .3100 516.40 .3604 .0714 .4711 .1805 189.44 .4797 .5113 3.3985 3.5465 739.18
2.6000 1.6706 4.0305 .4208 .2543 365.09 2.4113 3.6396 .3110 400.28 .3313 .0805 .4737 .1961 224.58 .4818 .5131 3.4058 3.5519 652.67
2.8000 1.7982 4.0537 .4759 .2762 296.17 2.4100 3.6445 .3120 320.09 .3480 .0815 .4920 .1872 185.49 .5022 .5288 3.5044 3.5465 527.44

M Stellar mass (solar units)
L Surface luminosity (solar units)
Te Effective temperature (Kelvin)
Mcc Mass of convective core (solar units)
Mc_He Mass of He-core (solar units)
t_Hb Central H-burning lifetime (10^6 year)
Age Structure age (10^6 year)
He_sur Surface He mass fraction
Mc_CO Mass of CO-core (solar units)
t_Heb Central He-burning lifetime (10^6 year)

See table in ASCII format


TABLE by PIETRINFERNI A. - CASSISI S. - SALARIS M. - CASTELLI F. - 2007 standard alpha-enhanced Z= .0400 Y= .3030
ZAMS end central H ZAHB end central He second dr. up first THERMAL PULSE
M log(L) log(Te) Mcc Mc_He t_Hb Mc_He Mcc Mc_He Mc_CO t_Heb Mc_CO log(L) Mc_CO Mc_He log(L) log(Te) Age
3.0000 1.9157 4.0752 .5351 .3022 245.82 .3675 .0760 .5147 .2004 148.65 no dredge up .5168 .5415 3.5477 3.5470 428.93
3.5000 2.1766 4.1211 .6798 .3625 161.18 .4272 .0953 .5900 .2262 84.61 no dredge up .5892 .6060 3.7558 3.5360 266.15
4.0000 2.3997 4.1598 .8176 .4240 112.66 .4935 .1166 .6942 .2723 53.21 no dredge up .6965 .7059 4.0778 3.5099 178.59
4.5000 2.5941 4.1987 .9644 .4751 81.92 .5619 .1364 .8075 .3007 33.74 .7128 4.0141 .7727 .7787 4.2067 3.5051 122.74
5.0000 2.7642 4.2294 1.1211 .5381 63.11 .6342 .1585 .9363 .4360 23.99 .7455 4.0820 .7966 .8015 4.2560 3.5090 91.73
5.5000 2.9157 4.2556 1.2972 .5977 50.04 .7086 .1814 1.0702 .4834 17.90 .7819 4.1524 .8226 .8269 4.3066 3.5128 71.40
6.0000 3.0520 4.2790 1.4627 .6695 40.83 .7907 .2076 1.2022 .5313 13.37 .8208 4.2218 .8508 .8543 4.3588 3.5144 56.92
6.5000 3.1756 4.3003 1.6345 .7295 34.16 .8709 .2340 1.3521 .4962 10.81 .8723 4.2879 .8929 .8955 4.4565 3.5113 47.04
7.0000 3.2881 4.3197 1.8177 .8252 29.17 .9590 .2639 1.4939 .5563 8.64 .9162 4.3368 .9312 .9331 4.5771 3.5031 39.44
7.5000 3.3914 4.3387 1.9440 .9138 25.46 1.0563 .2965 1.6279 .6846 6.87 .9429 4.3579 .9548 .9564 4.6492 3.5008 33.54
8.0000 3.4866 4.3550 2.1294 1.0192 22.43 1.1572 .3309 1.7949 .8171 5.96 no dredge up ---- CARBON IGNITION ----
8.5000 3.5749 4.3692 2.3283 1.1169 19.93 1.2656 .3695 1.9431 .8814 4.95 no dredge up ---- CARBON IGNITION ----
9.0000 3.6571 4.3835 2.5284 1.2539 17.98 1.3776 .4138 2.1336 1.0972 4.73 no dredge up ---- CARBON IGNITION ----
9.5000 3.7340 4.3956 2.8075 1.3613 16.29 1.4965 .4594 2.2877 1.1155 4.17 no dredge up ---- CARBON IGNITION ----
10.0000 3.8061 4.4081 3.0101 1.4886 14.93 1.6153 .5097 2.4667 1.3305 3.81 no dredge up ---- CARBON IGNITION ----

M Stellar mass (solar units)
L Surface luminosity (solar units)
Te Effective temperature (Kelvin)
Mcc Mass of convective core (solar units)
Mc_He Mass of He-core (solar units)
t_Hb Central H-burning lifetime (10^6 year)
Mc_CO Mass of CO-core (solar units)
t_Heb Central He-burning lifetime (10^6 year)
Age Structure age (10^6 year)

See table in ASCII format


Click to enlarge Click to enlarge


Y=0.303, Z = 0.04 - HB models (Mass of the RGB progenitor: M=1.00 Mo)

M = 0.4617 Mo M = 0.4620 Mo M = 0.4640 Mo M = 0.4660 Mo M = 0.4680 Mo
M = 0.4700 Mo M = 0.4750 Mo M = 0.4800 Mo M = 0.4850 Mo M = 0.4900 Mo
M = 0.4950 Mo M = 0.5000 Mo M = 0.5050 Mo M = 0.5100 Mo M = 0.5150 Mo
M = 0.5200 Mo M = 0.5250 Mo M = 0.5300 Mo M = 0.5350 Mo M = 0.5400 Mo
M = 0.5500 Mo M = 0.5600 Mo M = 0.5700 Mo M = 0.5800 Mo M = 0.5900 Mo
M = 0.6000 Mo M = 0.6200 Mo M = 0.6400 Mo M = 0.6600 Mo M = 0.6800 Mo
M = 0.7000 Mo M = 0.7200 Mo M = 0.7400 Mo M = 0.7600 Mo M = 0.7800 Mo
M = 0.8000 Mo M = 0.8200 Mo M = 0.8400 Mo M = 0.8600 Mo M = 0.8800 Mo
M = 0.9000 Mo M = 0.9200 Mo M = 0.9400 Mo M = 0.9600 Mo M = 0.9800 Mo
M = 1.0000 Mo

Download all HB tracks (as a single .tar.gz file)

UBVRIJKL bands
ACS HST bands
Stroemgren bands
Sloan bands
Walraven bands
WFC2 HST bands
WFC3 HST bands
WFC3-IR HST bands

The "ZAHB" locus

UBVRIJKL bands
ACS HST bands
Stroemgren bands
Sloan bands
Walraven bands
WFC2 HST bands
WFC3 HST bands
WFC3-IR HST bands

"End of the core He burning" locus

UBVRIJKL bands
ACS HST bands
Stroemgren bands
Sloan bands
Walraven bands
WFC2 HST bands
WFC3 HST bands
WFC3-IR HST bands

Click to enlarge


Download all isochrones (as a single .tar.gz file)

Y=0.303, Z = 0.04 - Isochrones (Age: 30 - 14000 Myr)

UBVRIJKL bands ACS HST bands
Stroemgren bands Sloan bands
Walraven bands WFC2 HST bands
WFC3 HST bands WFC3-IR HST bands


List of metallicities