You are now in:
BASTI Home /
Alpha Enhanced (AF94) Models /
Canonical Models /
List of
metallicities / Z=0.001
|
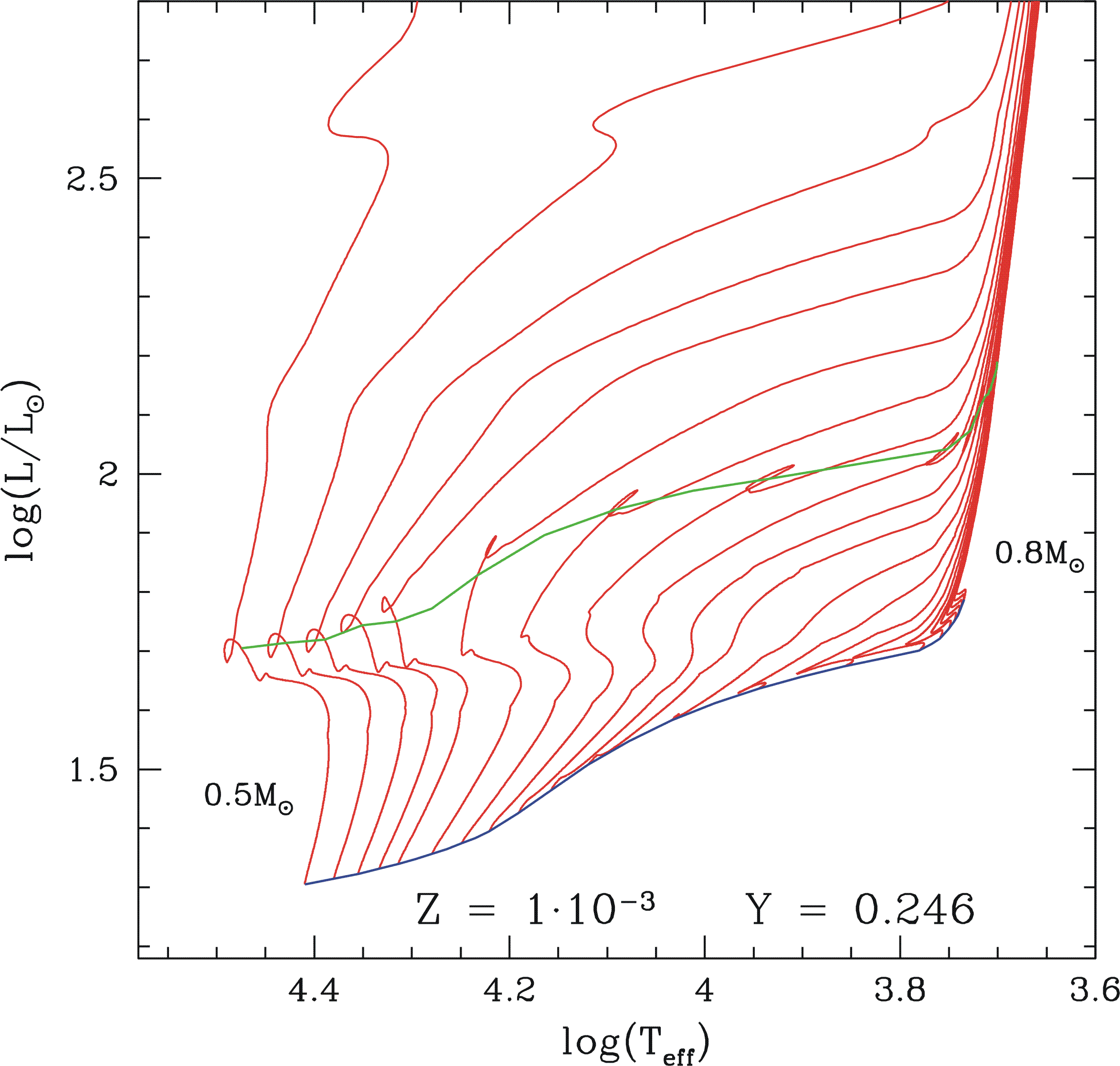
Y= 0.246, Z = 0.001 - Evolutionary models |
|
| |||||
| TABLE by PIETRINFERNI A. - CASSISI S. - SALARIS M. - CASTELLI F. - 2006 standard alpha-enhanced Z= 0.001 Y= 0.2460 | |||||||||||||||||||||||||||||||||||||||||||||||||||||||||||||||||||||||||||||||||||||||||||||||||||||||||||||||||||||||||||||||||||||||||||||||||||||||||||||||||||||||||||||||||||||||||||||||||||||||||||||||||||||||||||||||||||||||||||||||||||||||||||||||||||||||||||||||||||||||||||||||||||||||||||||||||||||||||||||||||||||||||||||||||||||||||||||||||||||||||||||||||||||||||||
| ZAMS | end central H | Tip RGB | ZAHB | end central He | first THERMAL PULSE | ||||||||||||||||||||||||||||||||||||||||||||||||||||||||||||||||||||||||||||||||||||||||||||||||||||||||||||||||||||||||||||||||||||||||||||||||||||||||||||||||||||||||||||||||||||||||||||||||||||||||||||||||||||||||||||||||||||||||||||||||||||||||||||||||||||||||||||||||||||||||||||||||||||||||||||||||||||||||||||||||||||||||||||||||||||||||||||||||||||||||||||||||||||||
M
| log(L) | log(Te) | Mcc | Mc_He | t_Hb | log(L) | log(Te) | He_sur | Age
| Mc_He | Mcc | Mc_He | Mc_CO | t_Heb | Mc_CO | Mc_He | log(L) | log(Te) | Age
| .7500 | -.3747 | 3.7625 | .0656 | .0981 | 15902.75 | 3.3696 | 3.6144 | .2570 | 16981.43 | .4918 | .1268 | .4918 | .1948 | 98.28 | .4620 | .5011 | 3.1824 | 3.6456 | 17139.08
| .8000 | -.2475 | 3.7796 | .0741 | .1020 | 12542.18 | 3.3697 | 3.6093 | .2590 | 13393.82 | .4905 | .1249 | .4994 | .1911 | 92.80 | .4768 | .5116 | 3.4029 | 3.6135 | 13543.05
| .9000 | -.0122 | 3.8092 | .0819 | .1106 | 8097.70 | 3.3662 | 3.6122 | .2630 | 8707.42 | .4886 | .1239 | .5129 | .2077 | 86.67 | .4961 | .5298 | 3.4468 | 3.6098 | 8844.44
| 1.0000 | .1973 | 3.8369 | .0893 | .1189 | 5494.49 | 3.3598 | 3.6171 | .2650 | 5965.16 | .4866 | .1237 | .5208 | .1714 | 86.92 | .5040 | .5360 | 3.4652 | 3.6109 | 6096.98
| 1.1000 | .3891 | 3.8673 | .0876 | .1265 | 3888.88 | 3.3532 | 3.6218 | .2670 | 4275.67 | .4848 | .1225 | .5259 | .1412 | 85.79 | .5120 | .5422 | 3.4941 | 3.6118 | 4401.02
| 1.2000 | .5498 | 3.9023 | .1159 | .1332 | 2881.31 | 3.3476 | 3.6261 | .2680 | 3188.30 | .4833 | .1221 | .5311 | .1761 | 84.84 | .5183 | .5474 | 3.5234 | 3.6141 | 3310.28
| 1.3000 | .7024 | 3.9356 | .1372 | .1430 | 2197.36 | 3.3435 | 3.6303 | .2670 | 2472.20 | .4824 | .1219 | .5357 | .1795 | 84.81 | .5236 | .5512 | 3.5160 | 3.6181 | 2591.32
| 1.4000 | .8420 | 3.9672 | .1530 | .1537 | 1716.60 | 3.3384 | 3.6342 | .2670 | 1975.15 | .4814 | .1217 | .5425 | .2199 | 84.12 | .5289 | .5568 | 3.5497 | 3.6196 | 2090.86
| 1.5000 | .9647 | 3.9939 | .1873 | .1569 | 1389.22 | 3.3323 | 3.6379 | .2660 | 1616.54 | .4804 | .1201 | .5473 | .1838 | 83.59 | .5357 | .5612 | 3.5386 | 3.6238 | 1728.93
| 1.6000 | 1.0763 | 4.0187 | .2156 | .1699 | 1171.35 | 3.3247 | 3.6415 | .2650 | 1355.61 | .4791 | .1200 | .5533 | .1840 | 82.52 | .5430 | .5681 | 3.5917 | 3.6226 | 1464.71
| 1.7000 | 1.1806 | 4.0429 | .2348 | .1774 | 988.30 | 3.3150 | 3.6450 | .2640 | 1130.37 | .4772 | .1195 | .5595 | .1846 | 81.46 | .5522 | .5763 | 3.6222 | 3.6235 | 1237.05
| 1.8000 | 1.2956 | 4.0632 | .2649 | .1879 | 770.86 | 3.2846 | 3.6493 | .2630 | 965.66 | .4716 | .1214 | .5659 | .2195 | 81.53 | .5575 | .5788 | 3.6643 | 3.6227 | 1070.48
| 1.9000 | 1.3698 | 4.0831 | .2950 | .2005 | 731.33 | 3.2216 | 3.6556 | .2610 | 819.20 | .4619 | .1199 | .5698 | .1756 | 83.60 | .5637 | .5861 | 3.6520 | 3.6268 | 923.99
| 2.0000 | 1.4547 | 4.1001 | .3320 | .2092 | 633.14 | 3.0940 | 3.6656 | .2610 | 700.83 | .4415 | .1108 | .5737 | .2221 | 91.17 | .5648 | .5865 | 3.6210 | 3.6317 | 812.00
| 2.2000 | 1.6084 | 4.1310 | .4047 | .2316 | 494.56 | 2.3990 | 3.7070 | .2590 | 519.01 | .3320 | .0354 | .5832 | .2231 | 148.29 | .5771 | .5974 | 3.6936 | 3.6304 | 681.86
| 2.4000 | 1.7468 | 4.1565 | .4833 | .2716 | 399.31 | 2.3150 | 3.7141 | .2550 | 413.65 | .3391 | .0792 | .6095 | .2093 | 121.38 | .6035 | .6208 | 3.7729 | 3.6283 | 543.77
| 2.6000 | 1.8724 | 4.1763 | .5590 | .2963 | 321.46 | 2.3474 | 3.7158 | .2510 | 334.15 | .3601 | .0858 | .6538 | .2047 | 95.47 | .6514 | .6640 | 3.8703 | 3.6253 | 436.39
| 2.8000 | 1.9868 | 4.1985 | .6227 | .3167 | 266.98 | 2.4119 | 3.7159 | .2490 | 274.29 | .3833 | .0938 | .7006 | .2635 | 76.20 | .6937 | .7052 | 3.9586 | 3.6226 | 355.73
| |
| M | Stellar mass | (solar units) |
| L | Surface luminosity | (solar units) |
| Te | Effective temperature | (Kelvin) |
| Mcc | Mass of convective core | (solar units) |
| Mc_He | Mass of He-core | (solar units) |
| t_Hb | Central H-burning lifetime | (10^6 year) |
| Age | Structure age | (10^6 year) |
| He_sur | Surface He | (mass fraction) |
| Mc_CO | Mass of CO-core | (solar units) |
| t_Heb | Central He-burning lifetime | (10^6 year) |
TABLE by PIETRINFERNI A. - CASSISI S. - SALARIS M. - CASTELLI F. -
2004 standard alpha-enhanced Z= 0.001 Y= 0.2460
|
ZAMS
|
end central H
|
ZAHB
|
end central He
|
second dr. up
|
first THERMAL PULSE
| M
| log(L) | log(Te) | Mcc | Mc_He | t_Hb | Mc_He
| Mcc | Mc_He | Mc_CO | t_Heb | Mc_CO | log(L) | Mc_CO | Mc_He | log(L) | log(Te) | Age
| 3.0000 | 2.0925 | 4.2157 | .7091 | .3478 | 222.87 | .4080 | .0993 | .7470 | .2928 | 61.98 | no dredge up | .7444 | .7519 | 3.9815 | 3.6239 | 295.11
| 3.5000 | 2.3255 | 4.2549 | .8664 | .4092 | 153.44 | .4715 | .1155 | .8722 | .3328 | 39.44 | .7857 | 4.1803 | .7987 | .8040 | 4.1353 | 3.6214 | 198.82
| 4.0000 | 2.5238 | 4.2863 | 1.0379 | .4618 | 112.07 | .5391 | .1374 | .9980 | .4557 | 27.06 | .8065 | 4.2087 | .8181 | .8229 | 4.1681 | 3.6273 | 143.17
| 4.5000 | 2.6958 | 4.3141 | 1.2102 | .5307 | 86.09 | .6153 | .1608 | 1.1302 | .5126 | 19.45 | .8305 | 4.2356 | .8416 | .8457 | 4.2291 | 3.6300 | 108.38
| 5.0000 | 2.8473 | 4.3368 | 1.3893 | .5896 | 68.40 | .6934 | .1872 | 1.2637 | .5623 | 14.55 | .8576 | 4.2627 | .8676 | .8710 | 4.2608 | 3.6339 | 85.22
| 5.5000 | 2.9825 | 4.3583 | 1.5760 | .6594 | 56.08 | .7746 | .2055 | 1.4006 | .6292 | 11.33 | .8889 | 4.2814 | .9003 | .9030 | 4.3202 | 3.6349 | 69.13
| 6.0000 | 3.1045 | 4.3765 | 1.7683 | .7311 | 46.99 | .8679 | .2525 | 1.5367 | .7076 | 8.98 | .9284 | 4.3212 | .9390 | .9410 | 4.4058 | 3.6338 | 57.44
| 6.5000 | 3.2156 | 4.3939 | 1.9790 | .7859 | 40.16 | .9356 | .2741 | 1.6837 | .7472 | 7.51 | .9656 | 4.3122 | ------- CARBON IGNITION -------
| 7.0000 | 3.3173 | 4.4092 | 2.1646 | .8717 | 34.91 | 1.0197 | .2798 | 1.8292 | .8252 | 6.30 | no dredge up | ------- CARBON IGNITION -------
| 7.5000 | 3.4110 | 4.4228 | 2.3673 | .9606 | 30.74 | 1.1146 | .3297 | 1.9696 | .8482 | 5.29 | no dredge up | ------- CARBON IGNITION -------
| 8.0000 | 3.4979 | 4.4355 | 2.5716 | 1.0640 | 27.40 | 1.2209 | .3450 | 2.1217 | .9907 | 4.69 | no dredge up | ------- CARBON IGNITION -------
| 8.5000 | 3.5788 | 4.4482 | 2.7955 | 1.1635 | 24.70 | 1.3141 | .4013 | 2.2902 | 1.0961 | 4.21 | no dredge up | ------- CARBON IGNITION -------
| 9.0000 | 3.6544 | 4.4592 | 3.0253 | 1.2893 | 22.43 | 1.4181 | .4501 | 2.4496 | 1.1618 | 3.72 | no dredge up | ------- CARBON IGNITION -------
| 9.5000 | 3.7253 | 4.4695 | 3.2397 | 1.3835 | 20.53 | 1.5248 | .4841 | 2.6125 | 1.2627 | 3.39 | no dredge up | ------- CARBON IGNITION -------
| 10.0000 | 3.7920 | 4.4791 | 3.4792 | 1.5118 | 18.92 | 1.6376 | .5268 | 2.7684 | 1.3562 | 3.13 | no dredge up | ------- CARBON IGNITION -------
| | |||||||||||||||||||||||||||||||||||||||||||||||||||||||||||||||||||||
| M | Stellar mass | (solar units) |
| L | Surface luminosity | (solar units) |
| Te | Effective temperature | (Kelvin) |
| Mcc | Mass of convective core | (solar units) |
| Mc_He | Mass of He-core | (solar units) |
| t_Hb | Central H-burning lifetime | (10^6 year) |
| Mc_CO | Mass of CO-core | (solar units) |
| t_Heb | Central He-burning lifetime | (10^6 year) |
| Age | Structure age | (10^6 year) |
|
|
|
Y=0.246, Z = 0.001 - HB models (Mass of the RGB progenitor: M=0.80 Mo) |
|
| |||||||||||||
![]() |
|
Y=0.246, Z = 0.001 - Isochrones (Age: 30 - 14000 Myr)
| |||||
| List of metallicities |