You are now in:
BASTI Home /
Alpha Enhanced (AF94) Models /
Canonical Models /
List of
metallicities / Z=0.004
|
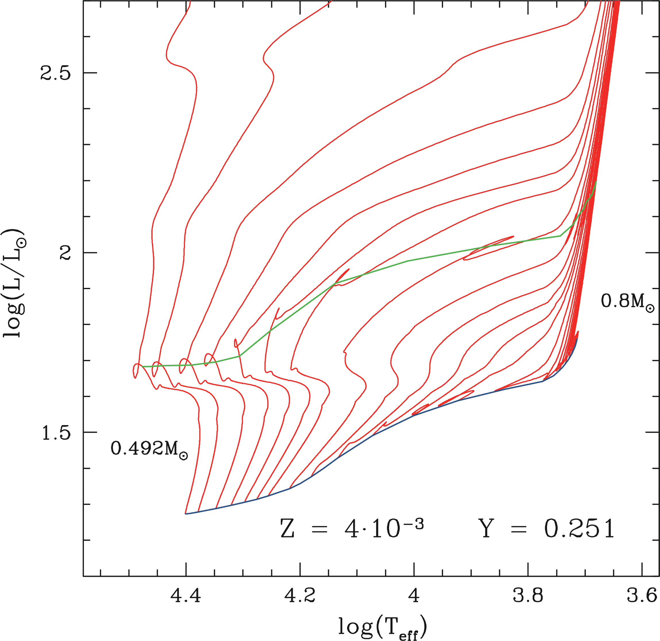
Y= 0.251, Z = 0.004 - Evolutionary models |
|
| |||||
| TABLE by PIETRINFERNI A. - CASSISI S. - SALARIS M. - CASTELLI F. - 2006 standard alpha-enhanced Z= 0.004 Y= 0.2510 | |||||||||||||||||||||||||||||||||||||||||||||||||||||||||||||||||||||||||||||||||||||||||||||||||||||||||||||||||||||||||||||||||||||||||||||||||||||||||||||||||||||||||||||||||||||||||||||||||||||||||||||||||||||||||||||||||||||||||||||||||||||||||||||||||||||||||||||||||||||||||||||||||||||||||||||||||||||||||||||||||||||||||||||||||||||||||||||||||||||||
| ZAMS | end central H | Tip RGB | ZAHB | end central He | first THERMAL PULSE | ||||||||||||||||||||||||||||||||||||||||||||||||||||||||||||||||||||||||||||||||||||||||||||||||||||||||||||||||||||||||||||||||||||||||||||||||||||||||||||||||||||||||||||||||||||||||||||||||||||||||||||||||||||||||||||||||||||||||||||||||||||||||||||||||||||||||||||||||||||||||||||||||||||||||||||||||||||||||||||||||||||||||||||||||||||||||||||||||||
M
| log(L) | log(Te) | Mcc | Mc_He | t_Hb | log(L) | log(Te) | He_sur | Age
| Mc_He | Mcc | Mc_He | Mc_CO | t_Heb | Mc_CO | Mc_He | log(L) | log(Te) | Age
| .8000 | -.3337 | 3.7570 | .0534 | .0902 | 14904.23 | 3.4118 | 3.5706 | .2660 | 16111.87 | .4845 | .1216 | .4916 | .1864 | 101.08 | .4684 | .5046 | 3.3642 | 3.5926 | 16296.21
| .9000 | -.0963 | 3.7871 | .0564 | .0949 | 9486.04 | 3.4124 | 3.5707 | .2700 | 10395.91 | .4829 | .1205 | .5082 | .1951 | 94.16 | .4905 | .5235 | 3.4183 | 3.5742 | 10565.18
| 1.0000 | .1159 | 3.8113 | .0627 | .1070 | 6339.38 | 3.4099 | 3.5754 | .2710 | 7038.23 | .4816 | .1198 | .5140 | .1642 | 91.26 | .4983 | .5295 | 3.4436 | 3.5738 | 7194.12
| 1.1000 | .3059 | 3.8348 | .0734 | .1134 | 4413.23 | 3.4085 | 3.5829 | .2720 | 4981.50 | .4807 | .1190 | .5191 | .1692 | 91.67 | .5046 | .5351 | 3.4949 | 3.5733 | 5133.31
| 1.2000 | .4945 | 3.8627 | .0642 | .1247 | 3130.75 | 3.4061 | 3.5871 | .2720 | 3682.24 | .4801 | .1193 | .5229 | .1674 | 90.48 | .5081 | .5372 | 3.4668 | 3.5839 | 3826.77
| 1.3000 | .6472 | 3.8953 | .0993 | .1347 | 2379.33 | 3.4044 | 3.5920 | .2710 | 2851.60 | .4797 | .1184 | .5258 | .2088 | 90.04 | .5113 | .5391 | 3.5591 | 3.5761 | 2990.19
| 1.4000 | .7834 | 3.9273 | .1235 | .1415 | 1886.60 | 3.4028 | 3.5965 | .2690 | 2263.78 | .4794 | .1177 | .5292 | .2047 | 90.03 | .5166 | .5456 | 3.5620 | 3.5838 | 2398.75
| 1.5000 | .9089 | 3.9561 | .1509 | .1516 | 1536.42 | 3.4016 | 3.6006 | .2680 | 1840.86 | .4792 | .1191 | .5322 | .1743 | 88.77 | .5182 | .5466 | 3.5431 | 3.5888 | 1972.13
| 1.6000 | 1.0369 | 3.9831 | .1731 | .1649 | 1190.61 | 3.3971 | 3.6044 | .2670 | 1506.79 | .4784 | .1176 | .5344 | .1743 | 88.67 | .5229 | .5508 | 3.5810 | 3.5896 | 1633.33
| 1.7000 | 1.1372 | 4.0051 | .2131 | .1713 | 1040.54 | 3.3869 | 3.6089 | .2660 | 1255.59 | .4765 | .1185 | .5361 | .1724 | 87.68 | .5231 | .5505 | 3.5487 | 3.5952 | 1378.99
| 1.8000 | 1.2428 | 4.0222 | .2560 | .1849 | 820.55 | 3.3635 | 3.6145 | .2640 | 1044.41 | .4720 | .1152 | .5366 | .2131 | 91.33 | .5226 | .5498 | 3.5119 | 3.6028 | 1167.91
| 1.9000 | 1.3168 | 4.0456 | .2862 | .1920 | 794.95 | 3.3050 | 3.6224 | .2630 | 878.31 | .4612 | .1133 | .5312 | .1861 | 93.84 | .5180 | .5469 | 3.5605 | 3.6016 | 1003.77
| 2.0000 | 1.4034 | 4.0618 | .3330 | .2046 | 681.01 | 3.2001 | 3.6331 | .2630 | 749.23 | .4426 | .1052 | .5242 | .1629 | 105.33 | .5100 | .5395 | 3.5035 | 3.6100 | 883.01
| 2.2000 | 1.5616 | 4.0928 | .4036 | .2295 | 519.87 | 2.5334 | 3.6837 | .2630 | 547.79 | .3410 | .1116 | .4950 | .1820 | 200.75 | .4758 | .5100 | 3.3011 | 3.6316 | 773.11
| 2.4000 | 1.7021 | 4.1168 | .4650 | .2615 | 412.71 | 2.4308 | 3.6936 | .2650 | 434.97 | .3345 | .0797 | .5218 | .1998 | 172.29 | .5077 | .5391 | 3.5657 | 3.6153 | 621.71
| 2.6000 | 1.8295 | 4.1389 | .5347 | .2815 | 332.03 | 2.4111 | 3.6983 | .2630 | 347.26 | .3498 | .0811 | .5691 | .2197 | 126.52 | .5591 | .5817 | 3.6707 | 3.6104 | 484.28
| 2.8000 | 1.9464 | 4.1590 | .6078 | .3056 | 272.10 | 2.4525 | 3.6994 | .2610 | 283.34 | .3708 | .0889 | .6174 | .2483 | 96.91 | .6111 | .6269 | 3.7255 | 3.6102 | 387.77
| |
| M | Stellar mass | (solar units) |
| L | Surface luminosity | (solar units) |
| Te | Effective temperature | (Kelvin) |
| Mcc | Mass of convective core | (solar units) |
| Mc_He | Mass of He-core | (solar units) |
| t_Hb | Central H-burning lifetime | (10^6 year) |
| Age | Structure age | (10^6 year) |
| He_sur | Surface He | (mass fraction) |
| Mc_CO | Mass of CO-core | (solar units) |
| t_Heb | Central He-burning lifetime | (10^6 year) |
TABLE by PIETRINFERNI A. - CASSISI S. - SALARIS M. - CASTELLI F. -
2004 standard alpha-enhanced Z= 0.004 Y= 0.2510
|
ZAMS
|
end central H
|
ZAHB
|
end central He
|
second dr. up
|
first THERMAL PULSE
| M
| log(L) | log(Te) | Mcc | Mc_He | t_Hb | Mc_He
| Mcc | Mc_He | Mc_CO | t_Heb | Mc_CO | log(L) | Mc_CO | Mc_He | log(L) | log(Te) | Age
| 3.0000 | 2.0544 | 4.1786 | .6665 | .3347 | 227.89 | .3946 | .0956 | .6632 | .2585 | 77.69 | no dredge up | .6611 | .6736 | 3.9130 | 3.5975 | 319.24
| 3.5000 | 2.2921 | 4.2183 | .8307 | .3905 | 155.35 | .4578 | .1133 | .7756 | .3016 | 49.03 | no dredge up | .7709 | .7772 | 4.1168 | 3.5897 | 212.73
| 4.0000 | 2.4941 | 4.2523 | 1.0073 | .4489 | 113.22 | .5232 | .1331 | .8959 | .4222 | 33.42 | .7881 | 4.1889 | .8017 | .8069 | 4.1696 | 3.5935 | 151.85
| 4.5000 | 2.6694 | 4.2801 | 1.1666 | .5017 | 86.26 | .5930 | .1516 | 1.0305 | .4816 | 24.05 | .8152 | 4.2286 | .8252 | .8298 | 4.2096 | 3.5987 | 114.05
| 5.0000 | 2.8237 | 4.3053 | 1.3405 | .5779 | 68.37 | .6638 | .1814 | 1.1665 | .5425 | 17.90 | .8374 | 4.2497 | .8483 | .8522 | 4.2651 | 3.6015 | 88.95
| 5.5000 | 2.9616 | 4.3278 | 1.5215 | .6391 | 55.81 | .7385 | .2025 | 1.3047 | .5955 | 13.79 | .8682 | 4.2802 | .8785 | .8817 | 4.3257 | 3.6029 | 71.57
| 6.0000 | 3.0860 | 4.3479 | 1.7057 | .7076 | 46.67 | .8199 | .2377 | 1.4446 | .6359 | 10.80 | .8978 | 4.2997 | .9095 | .9120 | 4.3796 | 3.6040 | 58.99
| 6.5000 | 3.1990 | 4.3651 | 1.8983 | .7857 | 39.71 | .9056 | .2516 | 1.5884 | .7214 | 8.77 | .9434 | 4.3433 | .9533 | .9550 | 4.5142 | 3.5970 | 49.77
| 7.0000 | 3.3025 | 4.3818 | 2.0898 | .8643 | 34.45 | .9920 | .2774 | 1.7342 | .7949 | 7.20 | .9756 | 4.2906 | ------- CARBON IGNITION -------
| 7.5000 | 3.3980 | 4.3963 | 2.2881 | .9439 | 30.28 | 1.0922 | .3296 | 1.8855 | .8028 | 6.05 | no dredge up | ------- CARBON IGNITION -------
| 8.0000 | 3.4863 | 4.4106 | 2.4951 | 1.0316 | 26.97 | 1.1889 | .3766 | 2.0494 | .9831 | 5.25 | no dredge up | ------- CARBON IGNITION -------
| 8.5000 | 3.5684 | 4.4228 | 2.7126 | 1.1368 | 24.24 | 1.3056 | .3959 | 2.2044 | 1.0110 | 4.47 | no dredge up | ------- CARBON IGNITION -------
| 9.0000 | 3.6451 | 4.4352 | 2.9359 | 1.2536 | 22.01 | 1.4177 | .4303 | 2.3774 | 1.1211 | 3.96 | no dredge up | ------- CARBON IGNITION -------
| 9.5000 | 3.7343 | 4.4866 | 3.2839 | 1.3835 | 20.56 | 1.5248 | .4523 | 2.6181 | 1.2709 | 3.37 | no dredge up | ------- CARBON IGNITION -------
| 10.0000 | 3.7846 | 4.4560 | 3.3910 | 1.4831 | 18.52 | 1.6350 | .5375 | 2.7070 | 1.3688 | 3.31 | no dredge up | ------- CARBON IGNITION -------
| | |||||||||||||||||||||||||||||||||||||||||||||||||||||||||||||||||
| M | Stellar mass | (solar units) |
| L | Surface luminosity | (solar units) |
| Te | Effective temperature | (Kelvin) |
| Mcc | Mass of convective core | (solar units) |
| Mc_He | Mass of He-core | (solar units) |
| t_Hb | Central H-burning lifetime | (10^6 year) |
| Mc_CO | Mass of CO-core | (solar units) |
| t_Heb | Central He-burning lifetime | (10^6 year) |
| Age | Structure age | (10^6 year) |
|
|
|
Y=0.251, Z = 0.004 - HB models (Mass of the RGB progenitor: M=0.80 Mo) |
|
| |||||||||||||
![]() |
|
Y=0.251, Z = 0.004 - Isochrones (Age: 30 - 14500 Myr)
| |||||
| List of metallicities |