You are now in:
BASTI Home /
Alpha Enhanced (AF94) Models /
Canonical Models /
List of
metallicities / Z=0.01
|
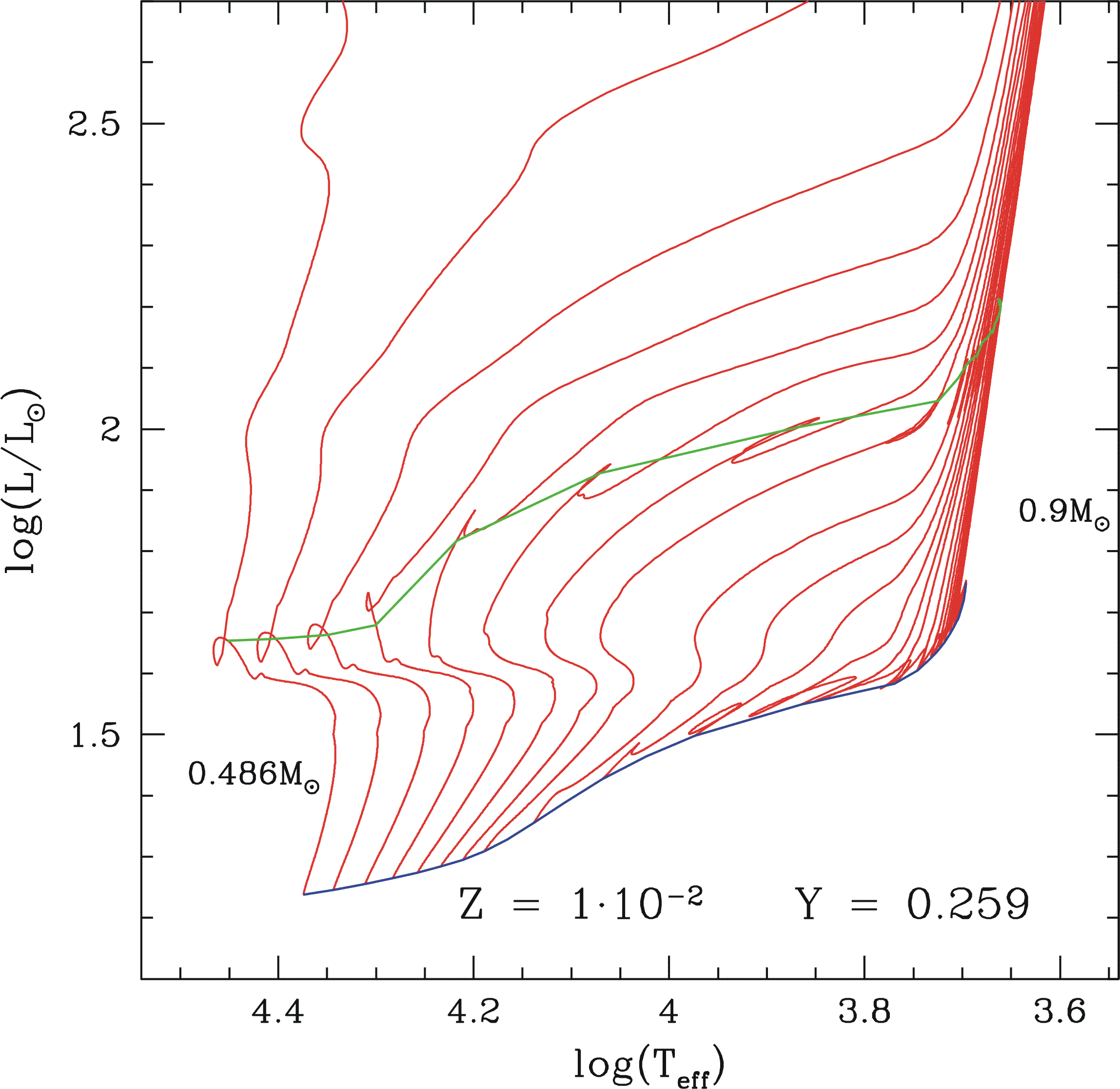
Y= 0.259, Z = 0.01 - Evolutionary models |
|
| |||||
| TABLE by PIETRINFERNI A. - CASSISI S. - SALARIS M. - CASTELLI F. - 2006 standard alpha-enhanced Z= 0.01 Y= 0.2590 | |||||||||||||||||||||||||||||||||||||||||||||||||||||||||||||||||||||||||||||||||||||||||||||||||||||||||||||||||||||||||||||||||||||||||||||||||||||||||||||||||||||||||||||||||||||||||||||||||||||||||||||||||||||||||||||||||||||||||||||||||||||||||||||||||||||||||||||||||||||||||||||||||||||||||||||||||||||||||||||||||||||||||||||||||||
| ZAMS | end central H | Tip RGB | ZAHB | end central He | first THERMAL PULSE | ||||||||||||||||||||||||||||||||||||||||||||||||||||||||||||||||||||||||||||||||||||||||||||||||||||||||||||||||||||||||||||||||||||||||||||||||||||||||||||||||||||||||||||||||||||||||||||||||||||||||||||||||||||||||||||||||||||||||||||||||||||||||||||||||||||||||||||||||||||||||||||||||||||||||||||||||||||||||||||||||||||||||||||||
M
| log(L) | log(Te) | Mcc | Mc_He | t_Hb | log(L) | log(Te) | He_sur | Age
| Mc_He | Mcc | Mc_He | Mc_CO | t_Heb | Mc_CO | Mc_He | log(L) | log(Te) | Age
| .9000 | -.2040 | 3.7629 | .0154 | .0847 | 11931.68 | 3.4366 | 3.5343 | .2790 | 13172.59 | .4781 | .1176 | .5018 | .1875 | 99.93 | .4837 | .5167 | 3.3498 | 3.5518 | 13370.84
| 1.0000 | -.0002 | 3.7871 | .0432 | .0922 | 7883.14 | 3.4374 | 3.5412 | .2810 | 8845.80 | .4771 | .1159 | .5083 | .1866 | 98.01 | .4972 | .5277 | 3.5055 | 3.5353 | 9033.87
| 1.1000 | .1916 | 3.8072 | .0621 | .1003 | 5380.31 | 3.4363 | 3.5479 | .2810 | 6179.76 | .4765 | .1165 | .5117 | .1610 | 94.90 | .4979 | .5281 | 3.4652 | 3.5465 | 6354.90
| 1.2000 | .3894 | 3.8297 | .0195 | .1095 | 3821.99 | 3.4356 | 3.5562 | .2800 | 4503.78 | .4761 | .1155 | .5153 | .1650 | 95.72 | .5019 | .5314 | 3.4731 | 3.5511 | 4669.82
| 1.3000 | .5565 | 3.8535 | .0454 | .1183 | 2768.17 | 3.4356 | 3.5611 | .2790 | 3414.24 | .4760 | .1161 | .5181 | .1646 | 94.37 | .5040 | .5333 | 3.4593 | 3.5591 | 3575.41
| 1.4000 | .7029 | 3.8836 | .0778 | .1314 | 2131.47 | 3.4346 | 3.5652 | .2770 | 2679.86 | .4759 | .1158 | .5201 | .1635 | 93.30 | .5084 | .5368 | 3.5068 | 3.5588 | 2832.63
| 1.5000 | .8333 | 3.9129 | .1178 | .1424 | 1710.17 | 3.4338 | 3.5697 | .2750 | 2154.27 | .4758 | .1163 | .5227 | .1651 | 92.39 | .5117 | .5393 | 3.5377 | 3.5607 | 2302.02
| 1.6000 | .9552 | 3.9397 | .1485 | .1557 | 1367.55 | 3.4330 | 3.5740 | .2740 | 1736.00 | .4757 | .1157 | .5241 | .1641 | 91.79 | .5121 | .5399 | 3.5081 | 3.5690 | 1880.36
| 1.7000 | 1.0550 | 3.9640 | .1805 | .1656 | 1209.41 | 3.4272 | 3.5788 | .2720 | 1422.19 | .4747 | .1159 | .5257 | .1984 | 93.13 | .5159 | .5428 | 3.5520 | 3.5702 | 1561.93
| 1.8000 | 1.1557 | 3.9852 | .2200 | .1754 | 1014.33 | 3.4131 | 3.5831 | .2710 | 1168.46 | .4721 | .1148 | .5267 | .1972 | 94.16 | .5134 | .5410 | 3.4981 | 3.5770 | 1305.11
| 1.9000 | 1.2479 | 4.0045 | .2580 | .1860 | 871.06 | 3.3771 | 3.5902 | .2700 | 974.29 | .4652 | .1125 | .5231 | .1759 | 96.96 | .5101 | .5382 | 3.4867 | 3.5818 | 1111.67
| 2.0000 | 1.3369 | 4.0199 | .3013 | .1937 | 728.83 | 3.3159 | 3.5997 | .2690 | 818.52 | .4539 | .1083 | .5168 | .1769 | 102.47 | .5058 | .5343 | 3.5046 | 3.5833 | 959.49
| 2.2000 | 1.4978 | 4.0526 | .3720 | .2191 | 560.97 | 3.0615 | 3.6263 | .2700 | 606.13 | .4126 | .0937 | .4968 | .1559 | 132.25 | .4849 | .5167 | 3.3959 | 3.5997 | 770.52
| 2.4000 | 1.6419 | 4.0772 | .4314 | .2393 | 434.41 | 2.4832 | 3.6738 | .2710 | 460.52 | .3305 | .0355 | .4751 | .1802 | 216.94 | .4665 | .5020 | 3.3470 | 3.6089 | 703.88
| 2.6000 | 1.7726 | 4.0991 | .4963 | .2712 | 350.90 | 2.4441 | 3.6807 | .2730 | 372.98 | .3390 | .0760 | .4922 | .2076 | 185.15 | .4772 | .5104 | 3.3043 | 3.6173 | 575.83
| 2.8000 | 1.8928 | 4.1208 | .5671 | .2920 | 286.10 | 2.4575 | 3.6838 | .2730 | 301.42 | .3573 | .0817 | .5271 | .2191 | 140.56 | .5116 | .5396 | 3.4112 | 3.6127 | 455.26
| |
| M | Stellar mass | (solar units) |
| L | Surface luminosity | (solar units) |
| Te | Effective temperature | (Kelvin) |
| Mcc | Mass of convective core | (solar units) |
| Mc_He | Mass of He-core | (solar units) |
| t_Hb | Central H-burning lifetime | (10^6 year) |
| Age | Structure age | (10^6 year) |
| He_sur | Surface He | (mass fraction) |
| Mc_CO | Mass of CO-core | (solar units) |
| t_Heb | Central He-burning lifetime | (10^6 year) |
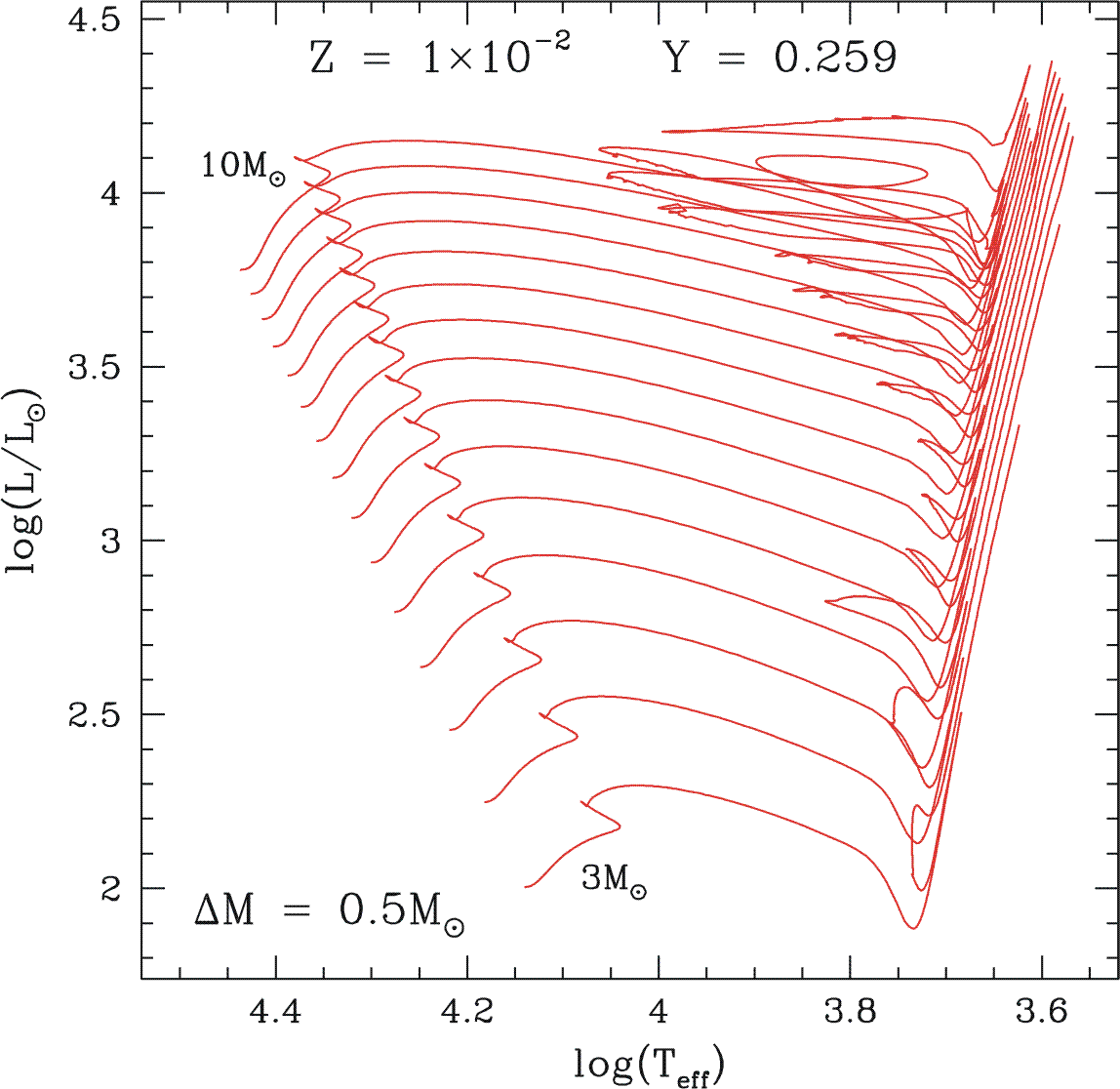
TABLE by PIETRINFERNI A. - CASSISI S. - SALARIS M. - CASTELLI F. -
2004 standard alpha-enhanced Z= 0.01 Y= 0.2590
|
ZAMS
|
end central H
|
ZAHB
|
end central He
|
second dr. up
|
first THERMAL PULSE
| M
| log(L) | log(Te) | Mcc | Mc_He | t_Hb | Mc_He
| Mcc | Mc_He | Mc_CO | t_Heb | Mc_CO | log(L) | Mc_CO | Mc_He | log(L) | log(Te) | Age
| 3.0000 | 2.0036 | 4.1403 | .6225 | .3130 | 237.91 | .3791 | .0933 | .5684 | .2198 | 107.09 | no dredge up | .5567 | .5785 | 3.5444 | 3.6057 | 366.32
| 3.5000 | 2.2478 | 4.1823 | .7847 | .3789 | 160.65 | .4383 | .1012 | .6939 | .2775 | 59.50 | no dredge up | .6868 | .6985 | 3.9337 | 3.5793 | 231.62
| 4.0000 | 2.4556 | 4.2188 | .9434 | .4301 | 116.08 | .5034 | .1360 | .8145 | .3171 | 38.22 | .7648 | 4.1645 | .7845 | .7905 | 4.1613 | 3.5676 | 161.28
| 4.5000 | 2.6363 | 4.2494 | 1.1015 | .5021 | 87.65 | .5705 | .1564 | .9181 | .4201 | 26.87 | .7899 | 4.1961 | .8034 | .8085 | 4.1917 | 3.5726 | 119.46
| 5.0000 | 2.7951 | 4.2761 | 1.2697 | .5579 | 68.88 | .6414 | .1705 | 1.0348 | .4819 | 20.08 | .8144 | 4.2299 | .8249 | .8294 | 4.2226 | 3.5776 | 92.45
| 5.5000 | 2.9369 | 4.3007 | 1.4512 | .6268 | 55.92 | .7140 | .1902 | 1.1601 | .5155 | 15.24 | .8345 | 4.2513 | .8459 | .8499 | 4.2796 | 3.5786 | 73.65
| 6.0000 | 3.0645 | 4.3208 | 1.6192 | .6897 | 46.31 | .7936 | .2324 | 1.2962 | .5743 | 12.02 | .8669 | 4.2879 | .8768 | .8799 | 4.3465 | 3.5793 | 60.35
| 6.5000 | 3.1805 | 4.3410 | 1.8132 | .7609 | 39.37 | .8760 | .2446 | 1.4340 | .6329 | 9.64 | .8978 | 4.3066 | .9087 | .9113 | 4.4139 | 3.5792 | 50.49
| 7.0000 | 3.2866 | 4.3576 | 1.9879 | .8134 | 33.92 | .9639 | .2721 | 1.5858 | .7424 | 8.05 | .9521 | 4.3579 | .9622 | .9638 | 4.6098 | 3.5671 | 43.20
| 7.5000 | 3.3843 | 4.3738 | 2.1868 | .9084 | 29.76 | 1.0554 | .3289 | 1.7254 | .7898 | 6.62 | .9786 | 4.2816 | ------- CARBON IGNITION -------
| 8.0000 | 3.4746 | 4.3876 | 2.4081 | 1.0068 | 26.37 | 1.1533 | .3482 | 1.9104 | .9118 | 5.72 | no dredge up | ------- CARBON IGNITION -------
| 8.5000 | 3.5585 | 4.4026 | 2.6218 | 1.1166 | 23.72 | 1.2573 | .3773 | 2.0569 | .9249 | 4.90 | no dredge up | ------- CARBON IGNITION -------
| 9.0000 | 3.6367 | 4.4146 | 2.8429 | 1.2251 | 21.45 | 1.3735 | .4435 | 2.1583 | .9552 | 4.46 | no dredge up | ------- CARBON IGNITION -------
| 9.5000 | 3.7099 | 4.4259 | 3.0715 | 1.3337 | 19.57 | 1.4872 | .4732 | 2.1859 | 1.0168 | 3.98 | no dredge up | ------- CARBON IGNITION -------
| 10.0000 | 3.7788 | 4.4374 | 3.2668 | 1.4776 | 18.00 | 1.6153 | .5302 | 2.4870 | 1.2132 | 3.41 | no dredge up | ------- CARBON IGNITION -------
| | ||||||||||||||||||||||||||||||||||||||||||||||||||||||||||||
| M | Stellar mass | (solar units) |
| L | Surface luminosity | (solar units) |
| Te | Effective temperature | (Kelvin) |
| Mcc | Mass of convective core | (solar units) |
| Mc_He | Mass of He-core | (solar units) |
| t_Hb | Central H-burning lifetime | (10^6 year) |
| Mc_CO | Mass of CO-core | (solar units) |
| t_Heb | Central He-burning lifetime | (10^6 year) |
| Age | Structure age | (10^6 year) |
|
|
|
Y=0.259, Z = 0.01 - HB models (Mass of the RGB progenitor: M=0.90 Mo) |
|
| |||||||||||||
![]() |
|
Y=0.259, Z = 0.01 - Isochrones (Age: 30 - 14500 Myr)
| |||||
| List of metallicities |