You are now in:
BASTI Home /
Alpha Enhanced (AF94) Models /
Canonical Models /
List of
metallicities / Z=0.0198
|
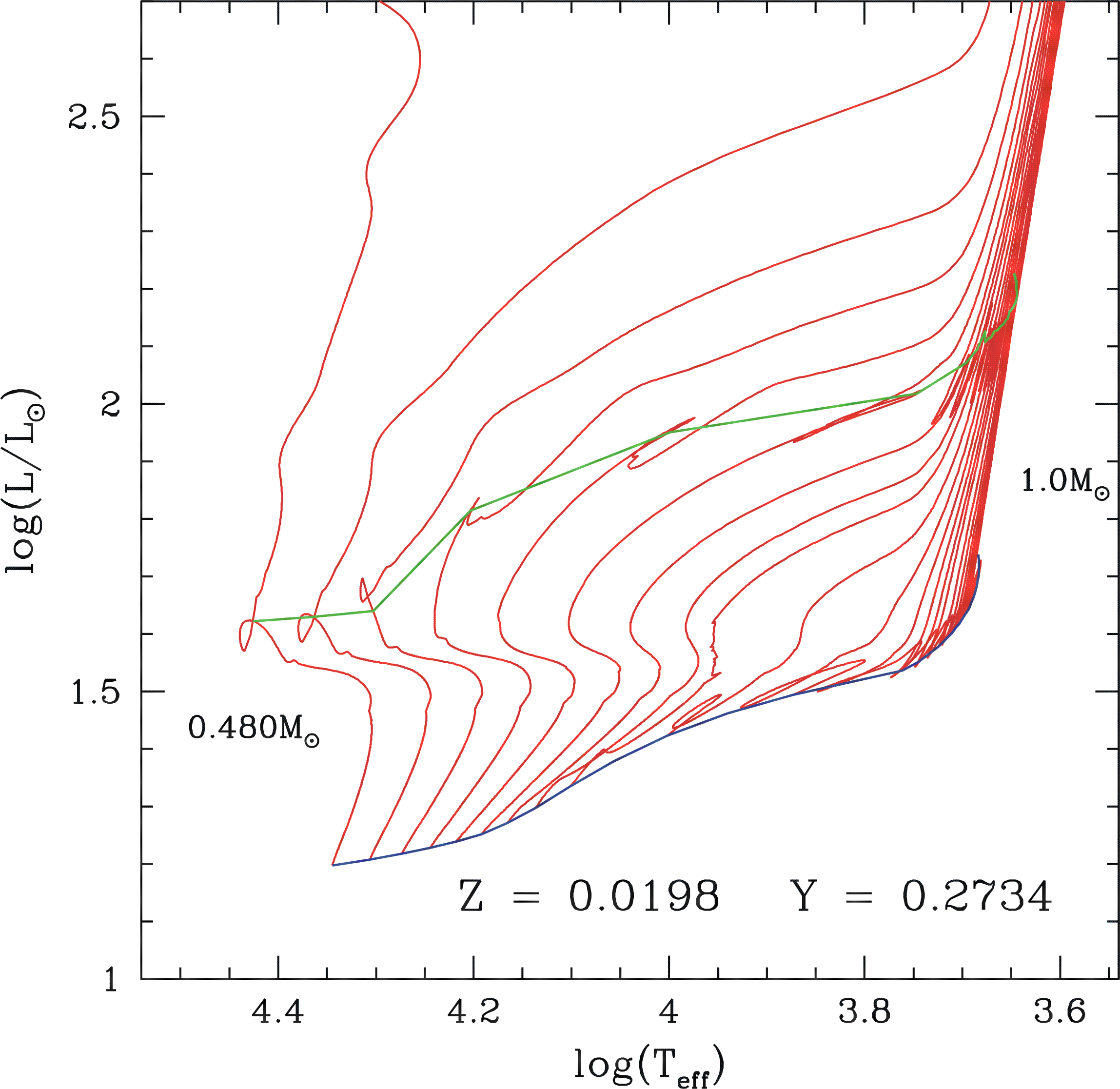
Y= 0.2734, Z = 0.0198 - Evolutionary models |
|
| |||||
| TABLE by PIETRINFERNI A. - CASSISI S. - SALARIS M. - CASTELLI F. - 2006 standard alpha-enhanced Z= 0.0198 Y= 0.2734 | |||||||||||||||||||||||||||||||||||||||||||||||||||||||||||||||||||||||||||||||||||||||||||||||||||||||||||||||||||||||||||||||||||||||||||||||||||||||||||||||||||||||||||||||||||||||||||||||||||||||||||||||||||||||||||||||||||||||||||||||||||||||||||||||||||||||||||||||||||||||||||||||||||||||||||||||||||||||||||||||||||||||||||||||||||
| ZAMS | end central H | Tip RGB | ZAHB | end central He | first THERMAL PULSE | ||||||||||||||||||||||||||||||||||||||||||||||||||||||||||||||||||||||||||||||||||||||||||||||||||||||||||||||||||||||||||||||||||||||||||||||||||||||||||||||||||||||||||||||||||||||||||||||||||||||||||||||||||||||||||||||||||||||||||||||||||||||||||||||||||||||||||||||||||||||||||||||||||||||||||||||||||||||||||||||||||||||||||||||
M
| log(L) | log(Te) | Mcc | Mc_He | t_Hb | log(L) | log(Te) | He_sur | Age
| Mc_He | Mcc | Mc_He | Mc_CO | t_Heb | Mc_CO | Mc_He | log(L) | log(Te) | Age
| .9000 | -.3058 | 3.7392 | .0000 | .0792 | 14501.57 | 3.4463 | 3.5031 | .2940 | 16148.91 | .4721 | .1119 | .4952 | .1917 | 103.27 | .4866 | .5172 | 3.5069 | 3.5136 | 16374.29
| 1.0000 | -.1054 | 3.7660 | .0255 | .0836 | 9646.47 | 3.4482 | 3.5112 | .2960 | 10834.69 | .4713 | .1113 | .5023 | .1930 | 100.59 | .4956 | .5248 | 3.5767 | 3.4971 | 11043.83
| 1.1000 | .0821 | 3.7858 | .0520 | .0906 | 6509.05 | 3.4488 | 3.5201 | .2960 | 7514.57 | .4708 | .1116 | .5068 | .1799 | 100.51 | .4992 | .5274 | 3.5425 | 3.5088 | 7712.48
| 1.2000 | .2899 | 3.8071 | .0000 | .0989 | 4531.94 | 3.4489 | 3.5286 | .2940 | 5410.36 | .4706 | .1110 | .5096 | .1587 | 99.60 | .5018 | .5295 | 3.5290 | 3.5184 | 5597.03
| 1.3000 | .4589 | 3.8261 | .0057 | .1089 | 3304.52 | 3.4491 | 3.5360 | .2930 | 4041.06 | .4705 | .1108 | .5123 | .1971 | 98.59 | .5065 | .5335 | 3.5926 | 3.5174 | 4218.75
| 1.4000 | .6188 | 3.8477 | .0551 | .1132 | 2352.44 | 3.4488 | 3.5414 | .2910 | 3126.91 | .4705 | .1107 | .5141 | .1587 | 97.22 | .5078 | .5347 | 3.5926 | 3.5241 | 3295.81
| 1.5000 | .7558 | 3.8739 | .0929 | .1282 | 1832.14 | 3.4485 | 3.5462 | .2890 | 2475.31 | .4705 | .1107 | .5160 | .1584 | 96.73 | .5068 | .5346 | 3.5090 | 3.5362 | 2638.10
| 1.6000 | .8676 | 3.9009 | .1306 | .1443 | 1583.22 | 3.4470 | 3.5504 | .2870 | 1986.52 | .4705 | .1107 | .5176 | .1581 | 96.04 | .5114 | .5379 | 3.6204 | 3.5322 | 2142.96
| 1.7000 | .9789 | 3.9255 | .1597 | .1615 | 1330.62 | 3.4451 | 3.5540 | .2850 | 1603.01 | .4702 | .1108 | .5188 | .1575 | 95.72 | .5125 | .5389 | 3.6188 | 3.5373 | 1753.65
| 1.8000 | 1.0824 | 3.9473 | .1988 | .1705 | 1122.16 | 3.4360 | 3.5587 | .2840 | 1308.36 | .4686 | .1101 | .5206 | .1933 | 97.72 | .5109 | .5374 | 3.5455 | 3.5524 | 1454.99
| 1.9000 | 1.1783 | 3.9668 | .2306 | .1816 | 945.70 | 3.4143 | 3.5647 | .2820 | 1080.67 | .4646 | .1088 | .5183 | .2023 | 98.52 | .5086 | .5357 | 3.5422 | 3.5549 | 1221.58
| 2.0000 | 1.2688 | 3.9830 | .2791 | .1916 | 795.39 | 3.3683 | 3.5740 | .2820 | 899.95 | .4559 | .1059 | .5140 | .1868 | 103.17 | .5033 | .5326 | 3.5248 | 3.5583 | 1049.22
| 2.2000 | 1.4341 | 4.0154 | .3488 | .2143 | 600.52 | 3.1987 | 3.5954 | .2820 | 655.50 | .4261 | .0961 | .4989 | .1998 | 123.68 | .4964 | .5258 | 3.5426 | 3.5641 | 818.51
| 2.4000 | 1.5819 | 4.0390 | .3975 | .2322 | 456.78 | 2.3906 | 3.6646 | .2830 | 493.92 | .3286 | .0263 | .4596 | .1685 | 244.24 | .4561 | .4932 | 3.2949 | 3.5936 | 772.92
| 2.6000 | 1.7162 | 4.0635 | .4638 | .2634 | 368.99 | 2.4666 | 3.6640 | .2860 | 399.01 | .3338 | .0817 | .4734 | .2540 | 227.04 | .4574 | .4946 | 3.1800 | 3.6088 | 643.97
| 2.8000 | 1.8398 | 4.0860 | .5147 | .2836 | 298.56 | 2.4524 | 3.6694 | .2870 | 319.48 | .3495 | .0913 | .4905 | .2057 | 178.07 | .4775 | .5113 | 3.3477 | 3.5984 | 516.18
| |
| M | Stellar mass | (solar units) |
| L | Surface luminosity | (solar units) |
| Te | Effective temperature | (Kelvin) |
| Mcc | Mass of convective core | (solar units) |
| Mc_He | Mass of He-core | (solar units) |
| t_Hb | Central H-burning lifetime | (10^6 year) |
| Age | Structure age | (10^6 year) |
| He_sur | Surface He | (mass fraction) |
| Mc_CO | Mass of CO-core | (solar units) |
| t_Heb | Central He-burning lifetime | (10^6 year) |
TABLE by PIETRINFERNI A. - CASSISI S. - SALARIS M. - CASTELLI F. -
2004 standard alpha-enhanced Z= 0.0198 Y= 0.2734
|
ZAMS
|
end central H
|
ZAHB
|
end central He
|
second dr. up
|
first THERMAL PULSE
| M
| log(L) | log(Te) | Mcc | Mc_He | t_Hb | Mc_He
| Mcc | Mc_He | Mc_CO | t_Heb | Mc_CO | log(L) | Mc_CO | Mc_He | log(L) | log(Te) | Age
| 3.0000 | 1.9537 | 4.1070 | .5827 | .3048 | 247.53 | .3701 | .0919 | .5188 | .1827 | 137.73 | no dredge up | .5061 | .5352 | 3.5136 | 3.5880 | 414.81
| 3.5000 | 2.2053 | 4.1517 | .7327 | .3651 | 165.33 | .4279 | .1038 | .6136 | .2278 | 75.84 | no dredge up | .6082 | .6249 | 3.8661 | 3.5634 | 256.76
| 4.0000 | 2.4202 | 4.1898 | .8770 | .4198 | 117.64 | .4913 | .1182 | .7357 | .2289 | 45.74 | no dredge up | .7328 | .7406 | 4.0640 | 3.5540 | 172.30
| 4.5000 | 2.6068 | 4.2217 | 1.0306 | .4872 | 87.61 | .5605 | .1454 | .8658 | .4056 | 30.46 | .7682 | 4.1673 | .7888 | .7944 | 4.1759 | 3.5525 | 124.15
| 5.0000 | 2.7708 | 4.2509 | 1.1917 | .5477 | 68.29 | .6290 | .1724 | .9912 | .4435 | 21.84 | .7965 | 4.2105 | .8119 | .8168 | 4.2501 | 3.5535 | 94.26
| 5.5000 | 2.9169 | 4.2757 | 1.3599 | .6007 | 54.74 | .7045 | .1894 | 1.1245 | .5175 | 16.70 | .8269 | 4.2543 | .8384 | .8425 | 4.2896 | 3.5570 | 74.52
| 6.0000 | 3.0482 | 4.2980 | 1.5220 | .6778 | 45.12 | .7819 | .2258 | 1.2590 | .5834 | 13.04 | .8547 | 4.2797 | .8663 | .8697 | 4.3451 | 3.5573 | 60.49
| 6.5000 | 3.1677 | 4.3194 | 1.7191 | .7351 | 38.10 | .8630 | .2466 | 1.3942 | .6321 | 10.34 | .8932 | 4.3258 | .9015 | .9042 | 4.4449 | 3.5547 | 50.17
| 7.0000 | 3.2768 | 4.3388 | 1.9163 | .8134 | 32.81 | .9478 | .2783 | 1.5330 | .6659 | 8.31 | .9199 | 4.3333 | .9320 | .9341 | 4.5293 | 3.5522 | 42.39
| 7.5000 | 3.3771 | 4.3536 | 2.0787 | .9084 | 28.46 | 1.0443 | .3019 | 1.6800 | .7364 | 6.89 | .9579 | 4.3442 | ------- CARBON IGNITION -------
| 8.0000 | 3.4696 | 4.3705 | 2.2901 | .9930 | 25.26 | 1.1377 | .3464 | 1.8250 | .8290 | 5.77 | .9991 | 4.2460 | ------- CARBON IGNITION -------
| 8.5000 | 3.5555 | 4.3840 | 2.4954 | 1.1031 | 22.54 | 1.2378 | .3827 | 1.9964 | .9821 | 5.21 | no dredge up | ------- CARBON IGNITION -------
| 9.0000 | 3.6355 | 4.3975 | 2.7091 | 1.2130 | 20.38 | 1.3557 | .4411 | 2.1385 | 1.0904 | 4.72 | no dredge up | ------- CARBON IGNITION -------
| 9.5000 | 3.7104 | 4.4091 | 2.9346 | 1.3258 | 18.52 | 1.4686 | .4757 | 2.2805 | 1.1299 | 4.16 | no dredge up | ------- CARBON IGNITION -------
| 10.0000 | 3.7807 | 4.4212 | 3.1588 | 1.4329 | 17.02 | 1.5980 | .5056 | 2.4002 | 1.1421 | 3.68 | no dredge up | ------- CARBON IGNITION -------
| | ||||||||||||||||||||||||||||||||||||||||||||||||||||||||||||
| M | Stellar mass | (solar units) |
| L | Surface luminosity | (solar units) |
| Te | Effective temperature | (Kelvin) |
| Mcc | Mass of convective core | (solar units) |
| Mc_He | Mass of He-core | (solar units) |
| t_Hb | Central H-burning lifetime | (10^6 year) |
| Mc_CO | Mass of CO-core | (solar units) |
| t_Heb | Central He-burning lifetime | (10^6 year) |
| Age | Structure age | (10^6 year) |
|
|
|
Y=0.2734, Z = 0.0198 - HB models (Mass of the RGB progenitor: M=1.00 Mo) |
|
| |||||||||||||
![]() |
|
Y=0.2734, Z = 0.0198 - Isochrones (Age: 30 - 14500 Myr)
| |||||
| List of metallicities |