You are now in:
BASTI Home /
Alpha Enhanced (AF94) Models /
Canonical Models /
List of
metallicities / Z=0.04
|
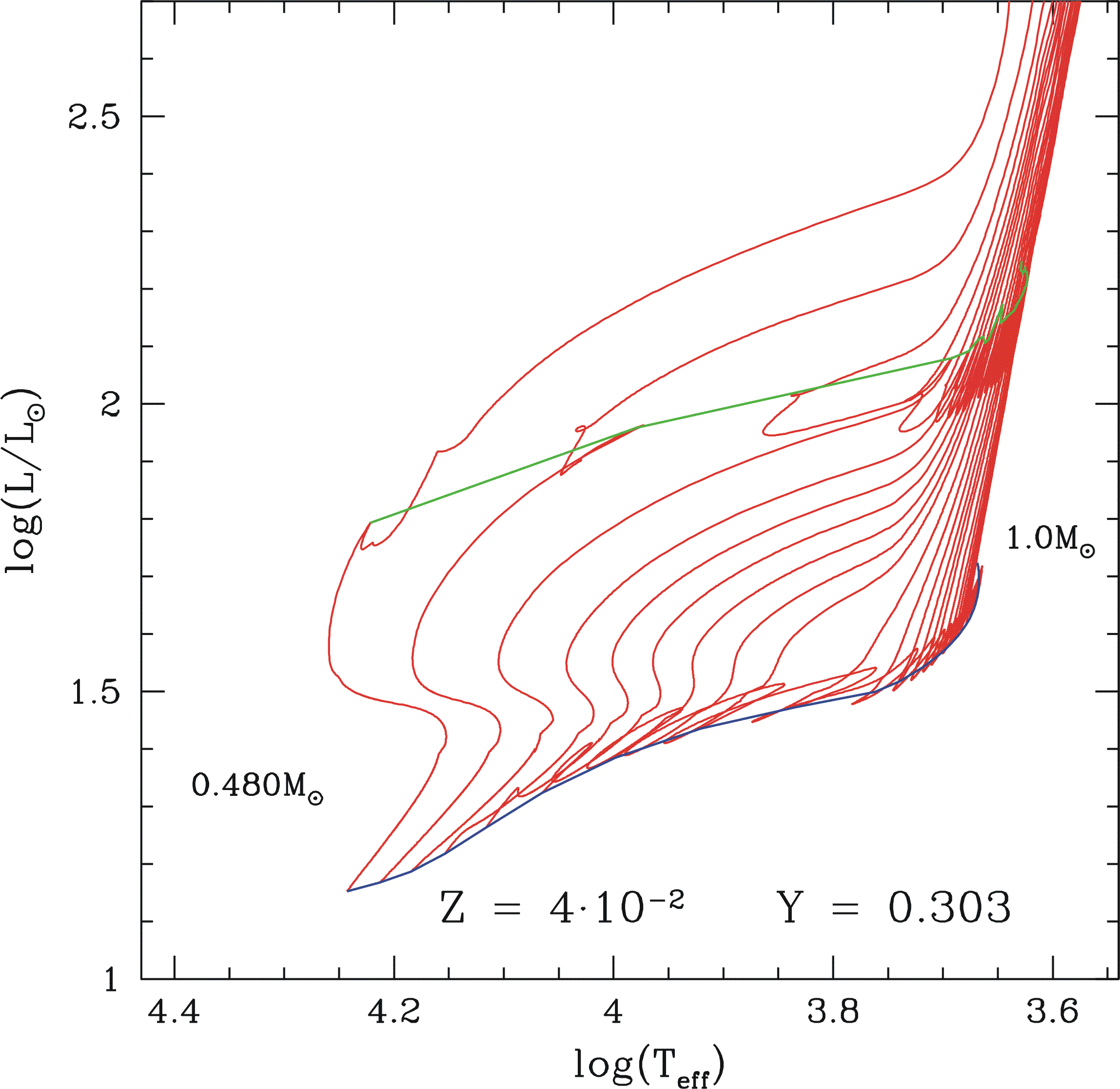
Y= 0.303, Z = 0.04 - Evolutionary models |
|
| |||||
| TABLE by PIETRINFERNI A. - CASSISI S. - SALARIS M. - CASTELLI F. - 2007 standard alpha-enhanced Z= .0400 Y= .3030 | |||||||||||||||||||
| ZAMS | end central H | Tip RGB | ZAHB | end central He | first THERMAL PULSE | ||||||||||||||
| M | log(L) | log(Te) | Mcc | Mc_He | t_Hb | log(L) | log(Te) | He_sur | Age | Mc_He | Mcc | Mc_He | Mc_CO | t_Heb | Mc_CO | Mc_He | log(L) | log(Te) | Age |
| .8000 | -.6429 | 3.6737 | .0000 | .0793 | 26605.16 | 3.4418 | 3.4490 | .3210 | 28681.14 | .4626 | .1053 | .4773 | .1767 | 112.85 | .0000 | .0000 | .0000 | .0000 | .00 |
| .9000 | -.4005 | 3.7123 | .0000 | .0821 | 16713.12 | 3.4434 | 3.4380 | .3230 | 18323.78 | .4617 | .1047 | .4888 | .1775 | 108.52 | .4873 | .5174 | 3.3318 | 3.5621 | 18571.83 |
| 1.0000 | -.1988 | 3.7411 | .0303 | .0832 | 10889.53 | 3.4468 | 3.4428 | .3240 | 12210.42 | .4611 | .1045 | .4981 | .1842 | 106.86 | .4984 | .5267 | 3.4277 | 3.4593 | 12437.36 |
| 1.1000 | -.0146 | 3.7621 | .0552 | .0893 | 7294.44 | 3.4491 | 3.4608 | .3240 | 8421.39 | .4607 | .1043 | .5027 | .1478 | 103.45 | .5035 | .5305 | 3.4351 | 3.4653 | 8634.41 |
| 1.2000 | .2079 | 3.7869 | .0000 | .0970 | 5023.11 | 3.4497 | 3.4724 | .3220 | 6020.98 | .4606 | .1044 | .5061 | .1482 | 102.20 | .5085 | .5346 | 3.5079 | 3.4632 | 6220.18 |
| 1.3000 | .3822 | 3.8052 | .0000 | .1050 | 3593.61 | 3.4504 | 3.4825 | .3200 | 4456.14 | .4607 | .1046 | .5088 | .1537 | 103.25 | .5090 | .5354 | 3.4702 | 3.4799 | 4645.97 |
| 1.4000 | .5486 | 3.8255 | .0571 | .1026 | 2429.02 | 3.4502 | 3.4902 | .3170 | 3406.96 | .4607 | .1042 | .5103 | .1798 | 102.85 | .5136 | .5388 | 3.5663 | 3.4728 | 3588.19 |
| 1.5000 | .6792 | 3.8444 | .0910 | .1235 | 2033.95 | 3.4508 | 3.4980 | .3150 | 2671.81 | .4608 | .1044 | .5125 | .1867 | 101.48 | .5100 | .5366 | 3.4708 | 3.4964 | 2846.77 |
| 1.6000 | .8012 | 3.8666 | .1253 | .1403 | 1650.87 | 3.4496 | 3.5036 | .3130 | 2120.10 | .4608 | .1045 | .5138 | .1944 | 100.06 | .5145 | .5397 | 3.5614 | 3.4886 | 2287.59 |
| 1.7000 | .9147 | 3.8901 | .1634 | .1506 | 1359.73 | 3.4471 | 3.5100 | .3120 | 1702.38 | .4604 | .1043 | .5152 | .1540 | 101.14 | .5158 | .5403 | 3.5438 | 3.4986 | 1863.36 |
| 1.8000 | 1.0188 | 3.9114 | .1849 | .1651 | 1153.58 | 3.4405 | 3.5144 | .3110 | 1383.44 | .4593 | .1035 | .5165 | .1547 | 101.20 | .5146 | .5400 | 3.4979 | 3.5054 | 1537.27 |
| 1.9000 | 1.1169 | 3.9307 | .2233 | .1796 | 976.92 | 3.4179 | 3.5225 | .3100 | 1133.24 | .4553 | .1027 | .5152 | .1554 | 102.17 | .5131 | .5391 | 3.5108 | 3.5182 | 1284.69 |
| 2.0000 | 1.2097 | 3.9461 | .2674 | .1910 | 802.84 | 3.3771 | 3.5319 | .3090 | 942.15 | .4478 | .1005 | .5111 | .1493 | 106.21 | .5091 | .5352 | 3.4704 | 3.5223 | 1094.37 |
| 2.2000 | 1.3783 | 3.9799 | .3196 | .2077 | 612.06 | 3.1859 | 3.5604 | .3090 | 681.43 | .4154 | .0891 | .4944 | .1688 | 131.95 | .4954 | .5241 | 3.4821 | 3.5293 | 854.46 |
| 2.4000 | 1.5308 | 4.0072 | .3781 | .2342 | 469.14 | 2.7185 | 3.6098 | .3100 | 519.35 | .3600 | .3311 | .4735 | .1834 | 197.01 | .4770 | .5099 | 3.3240 | 3.5542 | 748.59 |
| 2.6000 | 1.6697 | 4.0316 | .4295 | .2518 | 368.14 | 2.4080 | 3.6398 | .3110 | 399.75 | .3314 | .0787 | .4745 | .1689 | 221.92 | .4814 | .5133 | 3.4065 | 3.5519 | 649.40 |
| 2.8000 | 1.7982 | 4.0518 | .4759 | .2777 | 287.60 | 2.4075 | 3.6447 | .3120 | 315.68 | .3477 | .0864 | .4918 | .1836 | 182.15 | .4946 | .5236 | 3.4558 | 3.5518 | 519.34 |
| M | Stellar mass | (solar units) |
| L | Surface luminosity | (solar units) |
| Te | Effective temperature | (Kelvin) |
| Mcc | Mass of convective core | (solar units) |
| Mc_He | Mass of He-core | (solar units) |
| t_Hb | Central H-burning lifetime | (10^6 year) |
| Age | Structure age | (10^6 year) |
| He_sur | Surface He | mass fraction |
| Mc_CO | Mass of CO-core | (solar units) |
| t_Heb | Central He-burning lifetime | (10^6 year) |
TABLE by PIETRINFERNI A. - CASSISI S. - SALARIS M. - CASTELLI F. -
2004 standard alpha-enhanced Z= 0.04 Y= 0.303
|
ZAMS
|
end central H
|
ZAHB
|
end central He
|
second dr. up
|
first THERMAL PULSE
| M
| log(L) | log(Te) | Mcc | Mc_He | t_Hb | Mc_He
| Mcc | Mc_He | Mc_CO | t_Heb | Mc_CO | log(L) | Mc_CO | Mc_He | log(L) | log(Te) | Age
| 3.0000 | 1.9170 | 4.0717 | .5351 | .3109 | 235.80 | .3683 | .0878 | .5088 | .2072 | 149.53 | no dredge up | .5042 | .5317 | 3.4858 | 3.5703 | 427.12
| 3.5000 | 2.1779 | 4.1233 | .6798 | .3681 | 159.51 | .4284 | .1055 | .5864 | .2220 | 84.98 | no dredge up | .5812 | .5996 | 3.7552 | 3.5545 | 263.12
| 4.0000 | 2.4008 | 4.1641 | .8176 | .4305 | 112.01 | .4945 | .1270 | .6839 | .3132 | 50.87 | no dredge up | .6815 | .6921 | 4.0230 | 3.5350 | 173.71
| 4.5000 | 2.5941 | 4.1987 | .9644 | .4905 | 82.59 | .5630 | .1503 | .7990 | .3523 | 33.01 | .7257 | 4.0691 | .7671 | .7733 | 4.1841 | 3.5284 | 122.54
| 5.0000 | 2.7642 | 4.2294 | 1.1211 | .5500 | 63.58 | .6355 | .1579 | .9290 | .3871 | 23.65 | .7647 | 4.1557 | .7936 | .7989 | 4.2584 | 3.5298 | 91.68
| 5.5000 | 2.9157 | 4.2556 | 1.2972 | .6173 | 50.38 | .7099 | .1807 | 1.0606 | .4797 | 17.52 | .7980 | 4.2193 | .8197 | .8242 | 4.2995 | 3.5333 | 71.18
| 6.0000 | 3.0520 | 4.2790 | 1.4627 | .6734 | 41.07 | .7907 | .2070 | 1.1891 | .4995 | 13.19 | .8301 | 4.2609 | .8442 | .8480 | 4.3303 | 3.5369 | 56.86
| 6.5000 | 3.1755 | 4.3003 | 1.6345 | .7615 | 34.30 | .8725 | .2576 | 1.3313 | .5759 | 10.56 | .8698 | 4.3178 | .8802 | .8832 | 4.4294 | 3.5339 | 46.86
| 7.0000 | 3.2882 | 4.3210 | 1.7546 | .8252 | 29.41 | .9608 | .2704 | 1.4776 | .6400 | 8.58 | .9099 | 4.3573 | .9189 | .9211 | 4.5410 | 3.5283 | 39.40
| 7.5000 | 3.3913 | 4.3386 | 1.9440 | .9138 | 25.53 | 1.0563 | .3122 | 1.6423 | .8078 | 7.41 | .9623 | 4.3125 | ------- CARBON IGNITION -------
| 8.0000 | 3.4866 | 4.3550 | 2.1418 | 1.0192 | 22.47 | 1.1572 | .3374 | 1.7651 | .7331 | 5.77 | .9700 | 4.2965 | ------- CARBON IGNITION -------
| 8.5000 | 3.5749 | 4.3692 | 2.3309 | 1.1031 | 19.96 | 1.2677 | .3818 | 1.9482 | .9688 | 5.17 | 1.0729 | 4.2454 | ------- CARBON IGNITION -------
| 9.0000 | 3.6571 | 4.3834 | 2.5419 | 1.2278 | 18.00 | 1.3820 | .4363 | 2.0876 | .9707 | 4.45 | no dredge up | ------- CARBON IGNITION -------
| 9.5000 | 3.7340 | 4.3956 | 2.7773 | 1.3458 | 16.30 | 1.4965 | .4829 | 2.2542 | 1.0992 | 4.06 | no dredge up | ------- CARBON IGNITION -------
| 10.0000 | 3.8061 | 4.4080 | 2.9939 | 1.4886 | 14.95 | 1.6350 | .5528 | 2.3953 | 1.0788 | 3.50 | no dredge up | ------- CARBON IGNITION -------
| | |||||||||||||||||||||||||||||||||||||||||||||||||||||||||||
| M | Stellar mass | (solar units) |
| L | Surface luminosity | (solar units) |
| Te | Effective temperature | (Kelvin) |
| Mcc | Mass of convective core | (solar units) |
| Mc_He | Mass of He-core | (solar units) |
| t_Hb | Central H-burning lifetime | (10^6 year) |
| Mc_CO | Mass of CO-core | (solar units) |
| t_Heb | Central He-burning lifetime | (10^6 year) |
| Age | Structure age | (10^6 year) |
|
|
|
Y=0.303, Z = 0.04 - HB models (Mass of the RGB progenitor: M=1.00 Mo) |
|
| |||||||||||||
![]() |
|
Y=0.303, Z = 0.04 - Isochrones (Age: 30 - 14000 Myr)
| |||||
| List of metallicities |