You are now in: BASTI Home / Scaled Solar Models / Non Canonical Models / List of metallicities / Z=0.001
|
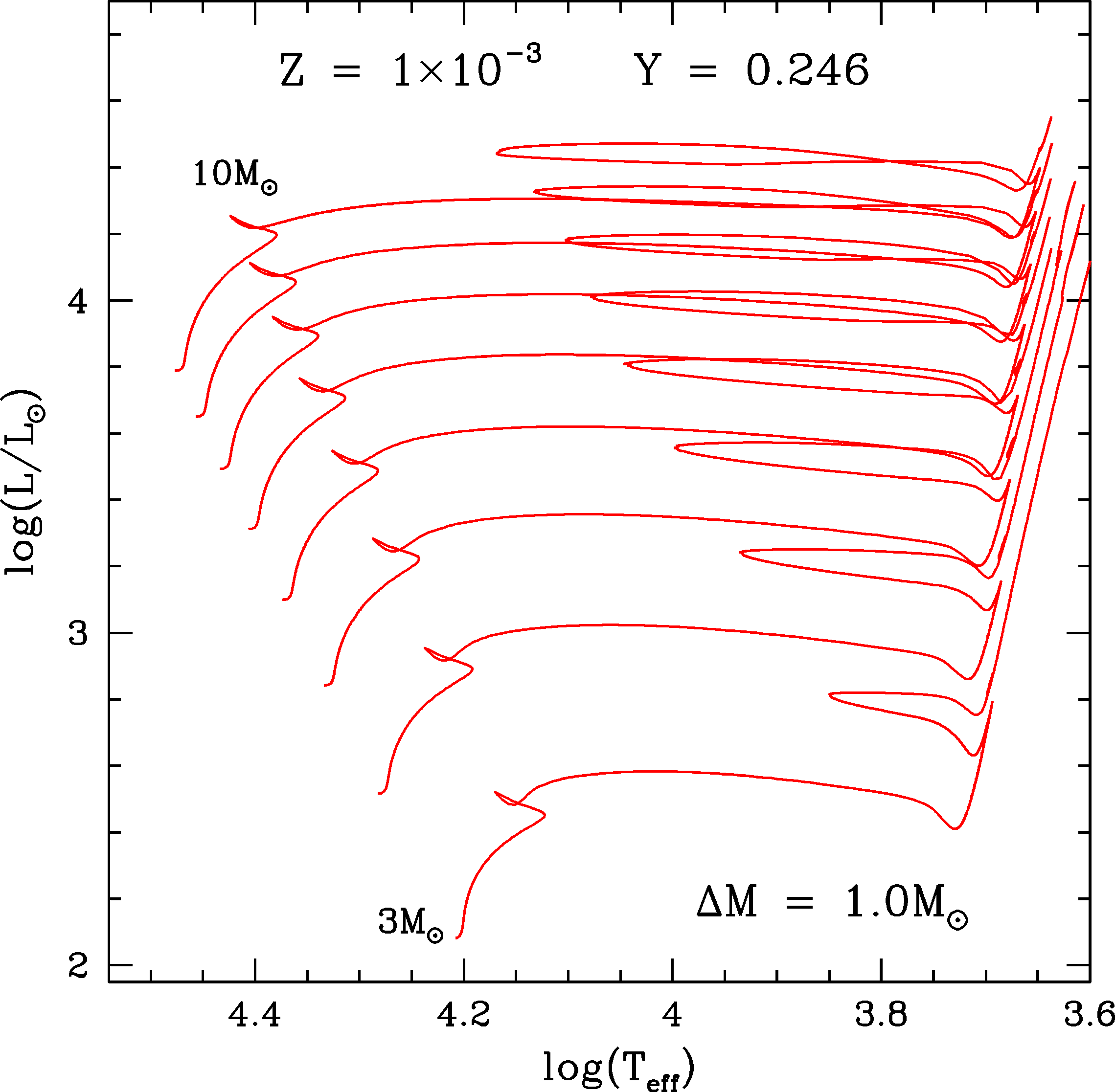
Y= 0.246, Z = 0.001 - Evolutionary models |
|
| ||||||||||||||
| TABLE by PIETRINFERNI A. - CASSISI S. - SALARIS M. - CASTELLI F. - 2007 non canonical scaled-solar Z= .0010 Y= .2460 | |||||||||||||||||||
| ZAMS | end central H | Tip RGB | ZAHB | end central He | first THERMAL PULSE | ||||||||||||||
| M | log(L) | log(Te) | Mcc | Mc_He | t_Hb | log(L) | log(Te) | He_sur | Age | Mc_He | Mcc | Mc_He | Mc_CO | t_Heb | Mc_CO | Mc_He | log(L) | log(Te) | Age |
| 1.1000 | .3871 | 3.8673 | .0421 | .1303 | 3930.37 | 3.3546 | 3.6063 | .2670 | 4293.79 | .4857 | .1239 | .5250 | .1738 | 86.29 | .5081 | .5389 | 3.4527 | 3.5992 | 4421.97 |
| 1.2000 | .5533 | 3.9036 | .0602 | .1382 | 2875.62 | 3.3496 | 3.6113 | .2680 | 3174.10 | .4844 | .1245 | .5286 | .1740 | 84.56 | .5134 | .5434 | 3.4699 | 3.6027 | 3298.30 |
| 1.3000 | .7023 | 3.9379 | .0808 | .1465 | 2161.24 | 3.3471 | 3.6157 | .2670 | 2422.15 | .4839 | .1224 | .5349 | .1789 | 85.32 | .5206 | .5488 | 3.4977 | 3.6042 | 2542.48 |
| 1.5000 | .9617 | 3.9972 | .1302 | .1673 | 1367.97 | 3.3392 | 3.6241 | .2650 | 1540.55 | .4825 | .1233 | .5444 | .2156 | 83.03 | .5321 | .5583 | 3.5219 | 3.6101 | 1654.12 |
| 1.7000 | 1.1795 | 4.0457 | .2008 | .2018 | 1034.23 | 3.1057 | 3.6474 | .2640 | 1084.94 | .4410 | .1063 | .5327 | .2059 | 103.99 | .5194 | .5476 | 3.5024 | 3.6190 | 1212.79 |
| 1.9000 | 1.3661 | 4.0854 | .2783 | .2193 | 779.83 | 2.4682 | 3.6918 | .2650 | 795.68 | .3366 | .0494 | .5287 | .1930 | 163.34 | .5145 | .5443 | 3.5027 | 3.6248 | 976.24 |
| 2.1000 | 1.5291 | 4.1180 | .3614 | .2501 | 607.61 | 2.4638 | 3.6963 | .2640 | 617.32 | .3530 | .0774 | .5764 | .2141 | 115.19 | .5681 | .5893 | 3.6396 | 3.6188 | 743.84 |
| 2.3000 | 1.6737 | 4.1451 | .4414 | .2850 | 486.72 | 2.5200 | 3.6971 | .2600 | 493.43 | .3769 | .0856 | .6299 | .2098 | 83.93 | .6282 | .6426 | 3.8225 | 3.6085 | 585.18 |
| 2.5000 | 1.8047 | 4.1687 | .5178 | .3207 | 398.03 | 2.5954 | 3.6966 | .2550 | 402.90 | .4044 | .0932 | .6841 | .2262 | 63.47 | .6801 | .6920 | 3.8835 | 3.6086 | 472.23 |
| M | Stellar mass | (solar units) |
| L | Surface luminosity | (solar units) |
| Te | Effective temperature | (Kelvin) |
| Mcc | Mass of convective core | (solar units) |
| Mc_He | Mass of He-core | (solar units) |
| t_Hb | Central H-burning lifetime | (10^6 year) |
| Age | Structure age | (10^6 year) |
| He_sur | Surface He | mass fraction |
| Mc_CO | Mass of CO-core | (solar units) |
| t_Heb | Central He-burning lifetime | (10^6 year) |
| TABLE by PIETRINFERNI A. - CASSISI S. - SALARIS M. - CASTELLI F. - 2007 non canonical scaled-solar Z= .0010 Y= .2460 | |||||||||||||||||
| ZAMS | end central H | ZAHB | end central He | second dr. up | first THERMAL PULSE | ||||||||||||
| M | log(L) | log(Te) | Mcc | Mc_He | t_Hb | Mc_He | Mcc | Mc_He | Mc_CO | t_Heb | Mc_CO | log(L) | Mc_CO | Mc_He | log(L) | log(Te) | Age |
| 3.0000 | 2.0851 | 4.2160 | .7013 | .3867 | 258.91 | .4793 | .1181 | .8328 | .3743 | 37.60 | .7664 | 4.1503 | .7922 | .7978 | 4.0855 | 3.6024 | 302.30 |
| 4.0000 | 2.5177 | 4.2845 | 1.0427 | .5521 | 135.29 | .6514 | .1728 | 1.1336 | .5551 | 17.27 | .8286 | 4.2244 | .8462 | .8501 | 4.2354 | 3.6104 | 155.00 |
| 5.0000 | 2.8411 | 4.3337 | 1.3891 | .7416 | 84.18 | .8456 | .2423 | 1.4380 | .6643 | 9.60 | .9043 | 4.3057 | .9163 | .9187 | 4.3644 | 3.6140 | 95.09 |
| 6.0000 | 3.0990 | 4.3739 | 1.7562 | .9692 | 56.77 | 1.0719 | .3260 | 1.7631 | .8082 | 6.08 | .9825 | 4.2665 | ---- CARBON IGNITION ---- | ||||
| 7.0000 | 3.3123 | 4.4060 | 2.1437 | 1.2047 | 41.61 | 1.3111 | .3895 | 2.1072 | .9825 | 4.23 | no dredge up | ---- CARBON IGNITION ---- | |||||
| 8.0000 | 3.4934 | 4.4338 | 2.5605 | 1.4878 | 32.36 | 1.5744 | .4973 | 2.4735 | 1.2143 | 3.17 | no dredge up | ---- CARBON IGNITION ---- | |||||
| 9.0000 | 3.6502 | 4.4566 | 2.9913 | 1.7901 | 26.23 | 1.8742 | .6173 | 2.8531 | 1.4534 | 2.46 | no dredge up | ---- CARBON IGNITION ---- | |||||
| 10.0000 | 3.7881 | 4.4769 | 3.4591 | 2.1112 | 21.95 | 2.1950 | .7784 | 3.2116 | 1.6996 | 1.99 | no dredge up | ---- CARBON IGNITION ---- | |||||
| M | Stellar mass | (solar units) |
| L | Surface luminosity | (solar units) |
| Te | Effective temperature | (Kelvin) |
| Mcc | Mass of convective core | (solar units) |
| Mc_He | Mass of He-core | (solar units) |
| t_Hb | Central H-burning lifetime | (10^6 year) |
| Mc_CO | Mass of CO-core | (solar units) |
| t_Heb | Central He-burning lifetime | (10^6 year) |
| Age | Structure age | (10^6 year) |
|
|
|
Y=0.246, Z = 0.001 - Isochrones (Age: 30 - 9000 Myr)
| ||||||||||||||
| List of metallicities |