You are now in:
BASTI Home /
Scaled Solar Models /
Non Canonical Models /
List of
metallicities / Z=0.008
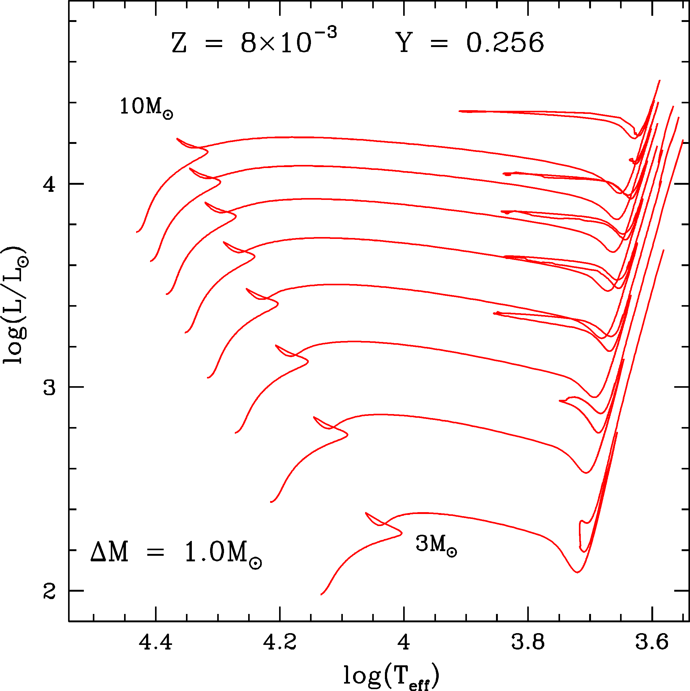
Y= 0.256, Z = 0.008 - Evolutionary models
|
|
Download all tracks (as a single .tar.gz file)
|
|
TABLE by PIETRINFERNI A. - CASSISI S. - SALARIS M. - CASTELLI F. - 2007 non canonical scaled-solar Z= .0080 Y= .2560
|
| ZAMS |
end central H |
Tip RGB |
ZAHB |
end central He |
first THERMAL PULSE |
| M | log(L) | log(Te) | Mcc | Mc_He | t_Hb |
log(L) | log(Te) | He_sur | Age | Mc_He | Mcc |
Mc_He | Mc_CO | t_Heb | Mc_CO | Mc_He | log(L) | log(Te) | Age |
| 1.1000 | .2130 | 3.8079 | .0124 | .1126 | 5516.81 | 3.4321 | 3.5306 | .2790 | 6308.56 | .4791 | .1172 | .5108 | .1598 | 95.28 | .4953 | .5259 | 3.4072 | 3.5351 | 6485.20 |
| 1.2000 | .3892 | 3.8287 | .0286 | .1217 | 3917.33 | 3.4324 | 3.5379 | .2770 | 4586.41 | .4789 | .1155 | .5134 | .1617 | 94.95 | .4979 | .5271 | 3.4628 | 3.5350 | 4756.08 |
| 1.3000 | .5449 | 3.8521 | .0520 | .1267 | 2890.81 | 3.4321 | 3.5441 | .2760 | 3461.09 | .4789 | .1157 | .5155 | .1619 | 93.84 | .5003 | .5299 | 3.3904 | 3.5517 | 3621.31 |
| 1.5000 | .8150 | 3.9117 | .1174 | .1578 | 1917.88 | 3.4257 | 3.5553 | .2740 | 2125.67 | .4776 | .1170 | .5202 | .1665 | 93.42 | .5048 | .5340 | 3.4274 | 3.5561 | 2273.80 |
| 1.7000 | 1.0432 | 3.9613 | .2026 | .1809 | 1400.64 | 3.2741 | 3.5793 | .2740 | 1470.13 | .4492 | .1069 | .5041 | .1577 | 110.97 | .4859 | .5189 | 3.3397 | 3.5746 | 1626.34 |
| 1.9000 | 1.2336 | 4.0007 | .2794 | .2040 | 1038.32 | 2.4143 | 3.6564 | .2790 | 1061.54 | .3290 | .0254 | .4448 | .1700 | 258.93 | .4304 | .4754 | 3.0842 | 3.6057 | 1357.11 |
| 2.1000 | 1.4021 | 4.0335 | .3503 | .2320 | 792.30 | 2.5513 | 3.6527 | .2830 | 806.26 | .3409 | .0559 | .4663 | .1700 | 210.91 | .4508 | .4905 | 3.1800 | 3.6036 | 1041.81 |
| 2.3000 | 1.5536 | 4.0618 | .4141 | .2635 | 621.56 | 2.5623 | 3.6574 | .2860 | 630.90 | .3599 | .0794 | .4940 | .1831 | 160.90 | .4840 | .5161 | 3.4151 | 3.5887 | 810.62 |
| 2.5000 | 1.6907 | 4.0867 | .4798 | .2801 | 499.36 | 2.6069 | 3.6590 | .2870 | 505.80 | .3834 | .0882 | .5278 | .2147 | 122.09 | .5177 | .5447 | 3.5331 | 3.5829 | 641.43 |
| M | Stellar mass | (solar units) |
| L | Surface luminosity | (solar units) |
| Te | Effective temperature | (Kelvin) |
| Mcc | Mass of convective core | (solar units) |
| Mc_He | Mass of He-core | (solar units) |
| t_Hb | Central H-burning lifetime | (10^6 year) |
| Age | Structure age | (10^6 year) |
| He_sur | Surface He | mass fraction |
| Mc_CO | Mass of CO-core | (solar units) |
| t_Heb | Central He-burning lifetime | (10^6 year) |
See table in ASCII format
|
TABLE by PIETRINFERNI A. - CASSISI S. - SALARIS M. - CASTELLI F. - 2007 non canonical scaled-solar Z= .0080 Y= .2560
|
| ZAMS |
end central H |
ZAHB |
end central He |
second dr. up |
first THERMAL PULSE |
| M | log(L) | log(Te) | Mcc | Mc_He | t_Hb |
Mc_He | Mcc | Mc_He | Mc_CO | t_Heb | Mc_CO |
log(L) | Mc_CO | Mc_He | log(L) | log(Te) | Age |
| 3.0000 | 1.9855 | 4.1375 | .6474 | .3524 | 310.54 | .4529 | .1100 | .6468 | .2139 | 60.12 | no dredge up | .6456 | .6592 | 3.9117 | 3.5580 | 382.42 |
| 4.0000 | 2.4360 | 4.2153 | .9672 | .5166 | 152.44 | .6195 | .1720 | .9494 | .4441 | 20.82 | .7951 | 4.2099 | .8090 | .8140 | 4.1992 | 3.5517 | 176.56 |
| 5.0000 | 2.7759 | 4.2726 | 1.2996 | .7284 | 88.39 | .8070 | .2179 | 1.2633 | .5819 | 11.08 | .8593 | 4.2866 | .8701 | .8733 | 4.3318 | 3.5569 | 101.03 |
| 6.0000 | 3.0460 | 4.3171 | 1.6442 | .9256 | 58.54 | 1.0207 | .3013 | 1.5971 | .7334 | 6.95 | .9506 | 4.3583 | .9618 | .9634 | 4.5948 | 3.5453 | 66.35 |
| 7.0000 | 3.2686 | 4.3532 | 2.0126 | 1.1770 | 42.35 | 1.2556 | .3912 | 1.9138 | .8883 | 4.71 | no dredge up | ---- CARBON IGNITION ---- |
| 8.0000 | 3.4569 | 4.3834 | 2.4122 | 1.4297 | 32.58 | 1.5194 | .4814 | 2.2581 | 1.1208 | 3.49 | no dredge up | ---- CARBON IGNITION ---- |
| 9.0000 | 3.6196 | 4.4092 | 2.8456 | 1.7668 | 26.18 | 1.8186 | .6177 | 2.5876 | 1.3118 | 2.66 | no dredge up | ---- CARBON IGNITION ---- |
| 10.0000 | 3.7623 | 4.4315 | 3.2864 | 2.0649 | 21.76 | 2.1282 | .7858 | 2.9970 | 1.5805 | 2.14 | no dredge up | ---- CARBON IGNITION ---- |
| M | Stellar mass | (solar units) |
| L | Surface luminosity | (solar units) |
| Te | Effective temperature | (Kelvin) |
| Mcc | Mass of convective core | (solar units) |
| Mc_He | Mass of He-core | (solar units) |
| t_Hb | Central H-burning lifetime | (10^6 year) |
| Mc_CO | Mass of CO-core | (solar units) |
| t_Heb | Central He-burning lifetime | (10^6 year) |
| Age | Structure age | (10^6 year) |
See table in ASCII format
|
Download all isochrones (as a single .tar.gz file)
Y=0.256, Z = 0.008 - Isochrones (Age: 30 - 9000 Myr)
|