You are now in:
BASTI Home /
Scaled Solar Models /
Non Canonical Models /
List of
metallicities / Z=0.01
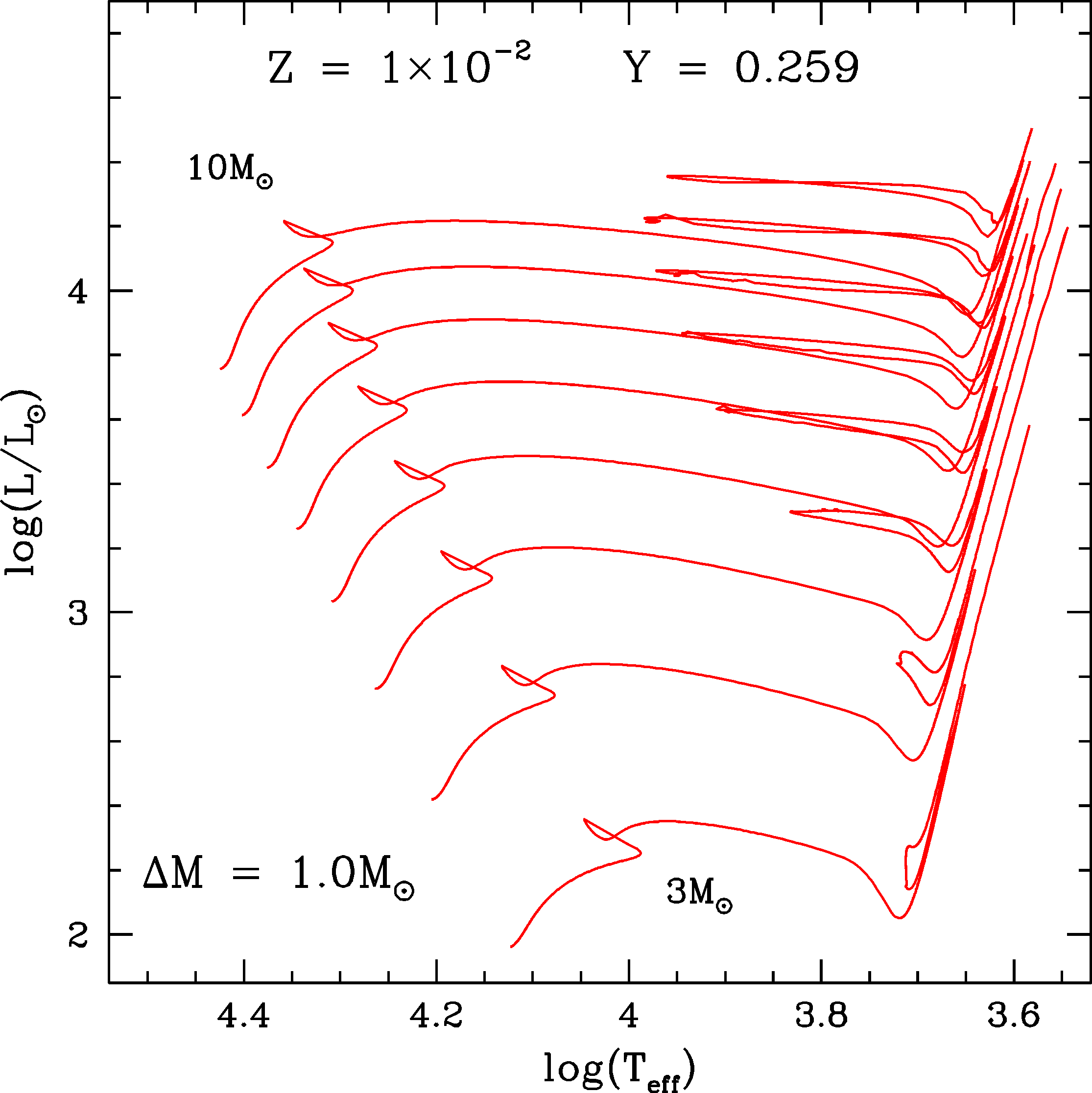
Y= 0.259, Z = 0.01 - Evolutionary models
|
|
Download all tracks (as a single .tar.gz file)
|
|
TABLE by PIETRINFERNI A. - CASSISI S. - SALARIS M. - CASTELLI F. - 2007 non canonical scaled-solar Z= .0100 Y= .2590
|
| ZAMS |
end central H |
Tip RGB |
ZAHB |
end central He |
first THERMAL PULSE |
| M | log(L) | log(Te) | Mcc | Mc_He | t_Hb |
log(L) | log(Te) | He_sur | Age | Mc_He | Mcc |
Mc_He | Mc_CO | t_Heb | Mc_CO | Mc_He | log(L) | log(Te) | Age |
| 1.1000 | .1766 | 3.8003 | .0052 | .1097 | 5939.89 | 3.4371 | 3.5204 | .2810 | 6793.01 | .4779 | .1150 | .5084 | .1584 | 96.67 | .4915 | .5229 | 3.3656 | 3.5314 | 6979.26 |
| 1.2000 | .3557 | 3.8204 | .0241 | .1184 | 4183.39 | 3.4375 | 3.5288 | .2800 | 4929.44 | .4778 | .1158 | .5111 | .1604 | 96.70 | .4963 | .5264 | 3.3875 | 3.5340 | 5106.53 |
| 1.3000 | .5124 | 3.8415 | .0465 | .1243 | 3085.43 | 3.4374 | 3.5351 | .2780 | 3707.81 | .4777 | .1153 | .5139 | .1999 | 95.96 | .4994 | .5295 | 3.4752 | 3.5309 | 3875.56 |
| 1.5000 | .7848 | 3.8974 | .1129 | .1496 | 2036.91 | 3.4321 | 3.5472 | .2760 | 2263.48 | .4766 | .1153 | .5179 | .1971 | 95.32 | .5041 | .5343 | 3.5218 | 3.5357 | 2416.36 |
| 1.7000 | 1.0159 | 3.9473 | .2010 | .1780 | 1473.80 | 3.3003 | 3.5698 | .2770 | 1556.26 | .4516 | .1075 | .5043 | .1985 | 109.40 | .4878 | .5193 | 3.3404 | 3.5673 | 1714.87 |
| 1.9000 | 1.2073 | 3.9869 | .2743 | .2000 | 1093.21 | 2.9241 | 3.6110 | .2810 | 1130.95 | .3949 | .0866 | .4717 | .1759 | 156.46 | .4545 | .4929 | 3.2000 | 3.5889 | 1324.32 |
| 2.1000 | 1.3768 | 4.0199 | .3420 | .2344 | 832.15 | 2.5358 | 3.6480 | .2850 | 847.10 | .3385 | .0595 | .4603 | .1841 | 225.15 | .4459 | .4866 | 3.1917 | 3.5959 | 1099.06 |
| 2.3000 | 1.5296 | 4.0485 | .4050 | .2527 | 650.67 | 2.5628 | 3.6518 | .2880 | 660.71 | .3575 | .0781 | .4858 | .1865 | 173.18 | .4772 | .5103 | 3.3884 | 3.5843 | 854.21 |
| 2.5000 | 1.6678 | 4.0738 | .4699 | .2809 | 521.66 | 2.6019 | 3.6537 | .2900 | 528.51 | .3806 | .0876 | .5169 | .1848 | 133.40 | .5066 | .5345 | 3.4665 | 3.5825 | 676.60 |
| M | Stellar mass | (solar units) |
| L | Surface luminosity | (solar units) |
| Te | Effective temperature | (Kelvin) |
| Mcc | Mass of convective core | (solar units) |
| Mc_He | Mass of He-core | (solar units) |
| t_Hb | Central H-burning lifetime | (10^6 year) |
| Age | Structure age | (10^6 year) |
| He_sur | Surface He | mass fraction |
| Mc_CO | Mass of CO-core | (solar units) |
| t_Heb | Central He-burning lifetime | (10^6 year) |
See table in ASCII format
|
TABLE by PIETRINFERNI A. - CASSISI S. - SALARIS M. - CASTELLI F. - 2007 non canonical scaled-solar Z= .0100 Y= .2590
|
| ZAMS |
end central H |
ZAHB |
end central He |
second dr. up |
first THERMAL PULSE |
| M | log(L) | log(Te) | Mcc | Mc_He | t_Hb |
Mc_He | Mcc | Mc_He | Mc_CO | t_Heb | Mc_CO |
log(L) | Mc_CO | Mc_He | log(L) | log(Te) | Age |
| 3.0000 | 1.9640 | 4.1267 | .6401 | .3637 | 324.88 | .4500 | .1087 | .6240 | .2058 | 65.64 | no dredge up | .6222 | .6377 | 3.8778 | 3.5539 | 400.50 |
| 4.0000 | 2.4197 | 4.2051 | .9566 | .5272 | 158.57 | .6129 | .1597 | .9234 | .4201 | 23.18 | .7667 | 4.1423 | .8009 | .8061 | 4.2085 | 3.5425 | 184.98 |
| 5.0000 | 2.7627 | 4.2631 | 1.2835 | .6854 | 89.95 | .7992 | .2332 | 1.2310 | .5479 | 11.39 | .8540 | 4.2870 | .8627 | .8663 | 4.3125 | 3.5517 | 103.04 |
| 6.0000 | 3.0349 | 4.3084 | 1.6235 | .9285 | 59.31 | 1.0128 | .3002 | 1.5536 | .7118 | 7.09 | .9359 | 4.3489 | .9474 | .9493 | 4.5574 | 3.5414 | 67.33 |
| 7.0000 | 3.2592 | 4.3451 | 1.9798 | 1.1332 | 42.74 | 1.2477 | .3889 | 1.8861 | .8667 | 4.79 | 1.0352 | 4.2698 | ---- CARBON IGNITION ---- |
| 8.0000 | 3.4491 | 4.3758 | 2.3802 | 1.4340 | 32.78 | 1.5141 | .4695 | 2.2414 | 1.0618 | 3.50 | no dredge up | ---- CARBON IGNITION ---- |
| 9.0000 | 3.6131 | 4.4020 | 2.8006 | 1.7068 | 26.27 | 1.8055 | .6288 | 2.6170 | 1.3899 | 2.77 | no dredge up | ---- CARBON IGNITION ---- |
| 10.0000 | 3.7566 | 4.4247 | 3.2627 | 2.0340 | 21.79 | 2.1067 | .7457 | 2.9840 | 1.5520 | 2.15 | no dredge up | ---- CARBON IGNITION ---- |
| M | Stellar mass | (solar units) |
| L | Surface luminosity | (solar units) |
| Te | Effective temperature | (Kelvin) |
| Mcc | Mass of convective core | (solar units) |
| Mc_He | Mass of He-core | (solar units) |
| t_Hb | Central H-burning lifetime | (10^6 year) |
| Mc_CO | Mass of CO-core | (solar units) |
| t_Heb | Central He-burning lifetime | (10^6 year) |
| Age | Structure age | (10^6 year) |
See table in ASCII format
|
Download all isochrones (as a single .tar.gz file)
Y=0.259, Z = 0.01 - Isochrones (Age: 30 - 9000 Myr)
|