You are now in: BASTI Home / Scaled Solar Models / Non Canonical Models / List of metallicities / Z=0.05
|
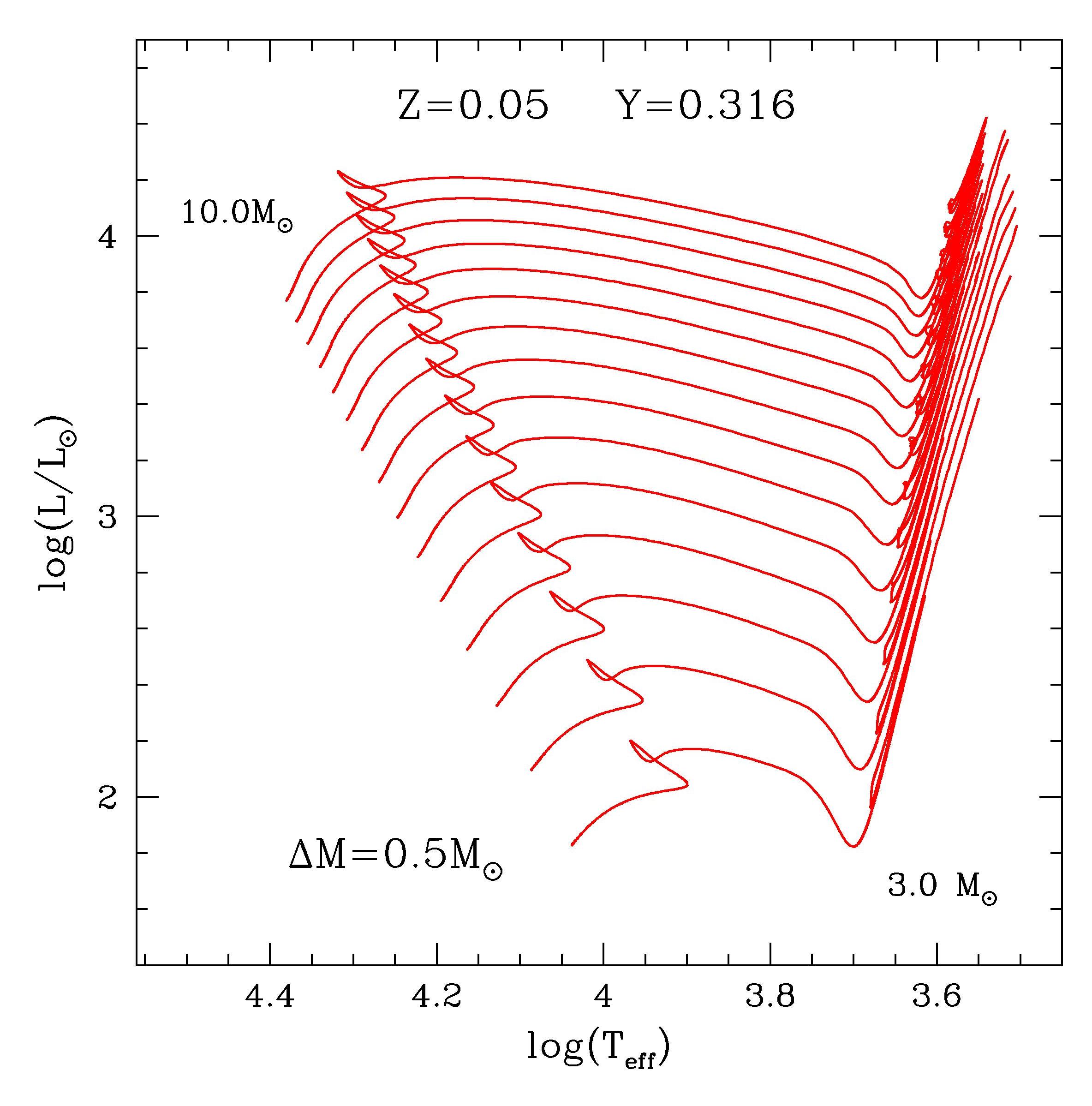
Y= 0.316, Z = 0.05 - Evolutionary models |
|
| ||||||||||||||
| TABLE by PIETRINFERNI A. - CASSISI S. - SALARIS M. - CASTELLI F. - 2013 non canonical scaled-solar Z= 0.0500 Y= 0.3160 | |||||||||||||||||||
| ZAMS | end central H | Tip RGB | ZAHB | end central He | first THERMAL PULSE | ||||||||||||||
| M | log(L) | log(Te) | Mcc | Mc_He | t_Hb | log(L) | log(Te) | He_sur | Age | Mc_He | Mcc | Mc_He | Mc_CO | t_Heb | Mc_CO | Mc_He | log(L) | log(Te) | Age |
| 1.1000 | -0.0665 | 3.7500 | 0.0000 | 0.1064 | 9024.53 | 3.4386 | 3.4470 | 0.3360 | 10013.06 | 0.4570 | 0.0988 | 0.4986 | 0.1954 | 109.71 | 0.5103 | 0.5353 | 3.5144 | 3.4337 | 10243.62 |
| 1.2000 | 0.1180 | 3.7705 | 0.0013 | 0.1081 | 6240.84 | 3.4407 | 3.4583 | 0.3330 | 7225.65 | 0.4572 | 0.0986 | 0.5018 | 0.1916 | 108.39 | 0.5121 | 0.5368 | 3.5244 | 3.4433 | 7439.31 |
| 1.3000 | 0.2855 | 3.7880 | 0.0288 | 0.1211 | 4471.43 | 3.4418 | 3.4684 | 0.3310 | 5365.12 | 0.4573 | 0.0986 | 0.5040 | 0.1876 | 108.53 | 0.5118 | 0.5369 | 3.5269 | 3.4542 | 5567.45 |
| 1.5000 | 0.5754 | 3.8185 | 0.1174 | 0.1432 | 2852.50 | 3.4346 | 3.4855 | 0.3280 | 3205.93 | 0.4561 | 0.0983 | 0.5069 | 0.1725 | 106.49 | 0.5172 | 0.5406 | 3.5534 | 3.4677 | 3384.75 |
| 1.7000 | 0.8097 | 3.8497 | 0.1879 | 0.1728 | 2054.84 | 3.3029 | 3.5137 | 0.3290 | 2172.82 | 0.4327 | 0.0912 | 0.4955 | 0.1372 | 123.08 | 0.5060 | 0.5326 | 3.5323 | 3.4871 | 2358.50 |
| 1.9000 | 1.0134 | 3.8879 | 0.2441 | 0.1995 | 1468.84 | 2.9977 | 3.5567 | 0.3320 | 1561.66 | 0.3889 | 0.0767 | 0.4767 | 0.1747 | 170.02 | 0.5025 | 0.5283 | 3.5161 | 3.4969 | 1751.51 |
| 2.0000 | 1.1063 | 3.9055 | 0.2676 | 0.2117 | 1261.13 | 2.5355 | 3.6024 | 0.3330 | 1311.81 | 0.3431 | 0.0646 | 0.4583 | 0.1858 | 229.41 | 0.4860 | 0.5151 | 3.3923 | 3.5207 | 1580.43 |
| 2.2000 | 1.2782 | 3.9375 | 0.3205 | 0.2429 | 947.74 | 2.4254 | 3.6175 | 0.3350 | 975.00 | 0.3398 | 0.0844 | 0.4746 | 0.2432 | 237.86 | 0.4973 | 0.5241 | 3.5166 | 3.5129 | 1239.08 |
| 2.4000 | 1.4321 | 3.9663 | 0.3718 | 0.2702 | 737.18 | 2.5111 | 3.6162 | 0.3380 | 751.03 | 0.3623 | 0.0671 | 0.4921 | 0.2419 | 185.11 | 0.5117 | 0.5360 | 3.5474 | 3.5181 | 957.32 |
| 2.6000 | 1.5738 | 3.9925 | 0.4337 | 0.3007 | 581.41 | 2.5692 | 3.6168 | 0.3390 | 590.48 | 0.3893 | 0.0807 | 0.5126 | 0.1832 | 138.66 | 0.5289 | 0.5511 | 3.6489 | 3.5104 | 748.76 |
| 2.8000 | 1.7050 | 4.0164 | 0.4856 | 0.3299 | 467.03 | 2.6372 | 3.6162 | 0.3400 | 473.89 | 0.4190 | 0.0903 | 0.5451 | 0.1695 | 108.46 | 0.5523 | 0.5718 | 3.6843 | 3.5132 | 596.85 |
| M | Stellar mass | (solar units) |
| L | Surface luminosity | (solar units) |
| Te | Effective temperature | (Kelvin) |
| Mcc | Mass of convective core | (solar units) |
| Mc_He | Mass of He-core | (solar units) |
| t_Hb | Central H-burning lifetime | (10^6 year) |
| Age | Structure age | (10^6 year) |
| He_sur | Surface He | mass fraction |
| Mc_CO | Mass of CO-core | (solar units) |
| t_Heb | Central He-burning lifetime | (10^6 year) |
| TABLE by PIETRINFERNI A. - CASSISI S. - SALARIS M. - CASTELLI F. - 2013 non canonical scaled-solar Z= 0.0500 Y= 0.3160 | |||||||||||||||||
| ZAMS | end central H | ZAHB | end central He | second dr. up | first THERMAL PULSE | ||||||||||||
| M | log(L) | log(Te) | Mcc | Mc_He | t_Hb | Mc_He | Mcc | Mc_He | Mc_CO | t_Heb | Mc_CO | log(L) | Mc_CO | Mc_He | log(L) | log(Te) | Age |
| 3.0000 | 1.8259 | 4.0381 | 0.5441 | 0.3644 | 382.40 | 0.4500 | 0.1028 | 0.5812 | 0.2108 | 83.53 | no dredge up | 0.5871 | 0.6033 | 3.7935 | 3.5064 | 482.65 | |
| 3.5000 | 2.0943 | 4.0867 | 0.6858 | 0.4428 | 245.45 | 0.5353 | 0.1278 | 0.6892 | 0.2724 | 48.98 | no dredge up | 0.6938 | 0.7029 | 4.0876 | 3.4831 | 303.57 | |
| 4.0000 | 2.3237 | 4.1280 | 0.8382 | 0.5289 | 168.79 | 0.6250 | 0.1539 | 0.8051 | 0.2484 | 28.53 | 0.6922 | 3.9511 | 0.7649 | 0.7708 | 4.2256 | 3.4784 | 203.64 |
| 4.5000 | 2.5227 | 4.1637 | 0.9931 | 0.6174 | 122.32 | 0.7200 | 0.1811 | 0.9347 | 0.3980 | 19.67 | 0.7275 | 4.0290 | 0.7891 | 0.7942 | 4.2724 | 3.4860 | 146.04 |
| 5.0000 | 2.6977 | 4.1950 | 1.1481 | 0.7046 | 92.52 | 0.8191 | 0.2113 | 1.0694 | 0.3673 | 14.04 | 0.7636 | 4.1027 | 0.8151 | 0.8191 | 4.3023 | 3.4941 | 109.45 |
| 5.5000 | 2.8536 | 4.2227 | 1.3138 | 0.8148 | 72.46 | 0.9243 | 0.2457 | 1.2064 | 0.5099 | 10.37 | 0.8067 | 4.1937 | 0.8431 | 0.8467 | 4.3624 | 3.4948 | 84.95 |
| 6.0000 | 2.9940 | 4.2474 | 1.4889 | 0.9216 | 58.37 | 1.0361 | 0.2840 | 1.3500 | 0.4831 | 8.07 | 0.8466 | 4.2573 | 0.8751 | 0.8779 | 4.4218 | 3.4984 | 67.77 |
| 6.5000 | 3.1210 | 4.2697 | 1.6681 | 1.0328 | 48.18 | 1.1573 | 0.3220 | 1.5060 | 0.5469 | 6.49 | 0.9051 | 4.3272 | 0.9216 | 0.9236 | 4.5914 | 3.4812 | 55.91 |
| 7.0000 | 3.2366 | 4.2899 | 1.8489 | 1.1612 | 40.61 | 1.2880 | 0.3694 | 1.6583 | 0.7070 | 5.10 | 0.9425 | 4.3654 | 0.9603 | 0.9617 | 4.6963 | 3.4747 | 46.69 |
| 7.5000 | 3.3428 | 4.3082 | 2.0358 | 1.2948 | 34.77 | 1.4225 | 0.4184 | 1.8263 | 0.7155 | 4.50 | no dredge up | ---- CARBON IGNITION ---- | |||||
| 8.0000 | 3.4410 | 4.3250 | 2.2397 | 1.4508 | 30.22 | 1.5667 | 0.4740 | 1.9967 | 0.9543 | 3.77 | no dredge up | ---- CARBON IGNITION ---- | |||||
| 8.5000 | 3.5317 | 4.3405 | 2.4328 | 1.6075 | 26.62 | 1.7155 | 0.5324 | 2.1690 | 0.9122 | 3.34 | no dredge up | ---- CARBON IGNITION ---- | |||||
| 9.0000 | 3.6164 | 4.3548 | 2.6447 | 1.7706 | 23.69 | 1.8751 | 0.5989 | 2.3307 | 1.0675 | 2.77 | no dredge up | ---- CARBON IGNITION ---- | |||||
| 9.5000 | 3.6956 | 4.3681 | 2.8517 | 1.9120 | 21.30 | 2.0381 | 0.6701 | 2.5212 | 1.1303 | 2.66 | no dredge up | ---- CARBON IGNITION ---- | |||||
| 10.0000 | 3.7698 | 4.3805 | 3.0869 | 2.0641 | 19.32 | 2.2011 | 0.7510 | 2.7201 | 1.2972 | 2.38 | no dredge up | ---- CARBON IGNITION ---- | |||||
| M | Stellar mass | (solar units) |
| L | Surface luminosity | (solar units) |
| Te | Effective temperature | (Kelvin) |
| Mcc | Mass of convective core | (solar units) |
| Mc_He | Mass of He-core | (solar units) |
| t_Hb | Central H-burning lifetime | (10^6 year) |
| Mc_CO | Mass of CO-core | (solar units) |
| t_Heb | Central He-burning lifetime | (10^6 year) |
| Age | Structure age | (10^6 year) |
|
|
|
Y=0.316, Z = 0.05 - Isochrones (Age: 30 - 9000 Myr)
| ||||||||||||||
| List of metallicities |