You are now in: BASTI Home / Scaled Solar Models / Canonical Models / List of metallicities / Z=0.00001


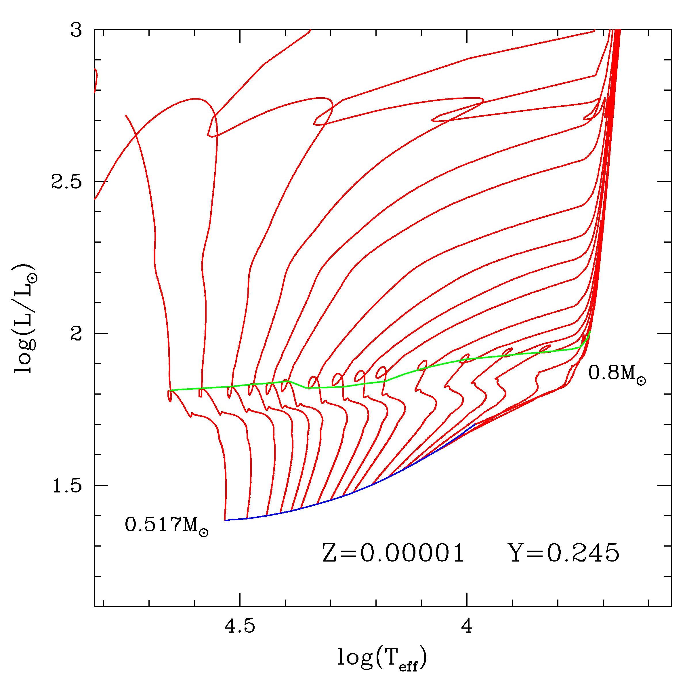
Y= 0.245, Z = 0.00001 - Evolutionary models

M = 0.50 Mo M = 0.55 Mo M = 0.60 Mo M = 0.70 Mo M = 0.75 Mo
M = 0.80 Mo M = 0.90 Mo M = 1.00 Mo M = 1.10 Mo M = 1.20 Mo
M = 1.30 Mo M = 1.40 Mo M = 1.50 Mo M = 1.60 Mo M = 1.70 Mo
M = 1.80 Mo M = 1.90 Mo M = 2.00 Mo M = 2.10 Mo M = 2.20 Mo
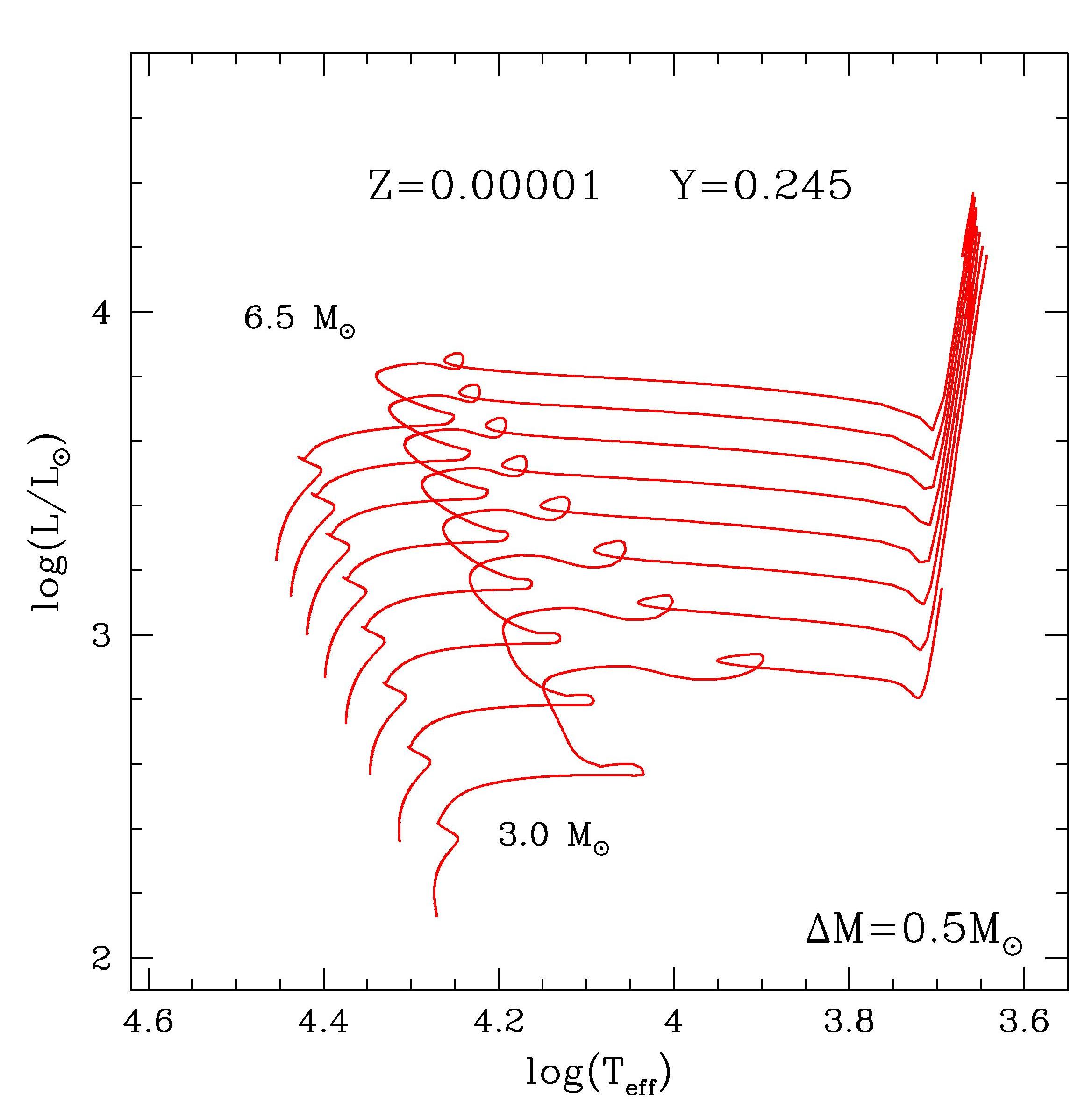
M = 2.30 Mo M = 2.40 Mo M = 2.60 Mo M = 2.80 Mo M = 3.00 Mo
M = 3.50 Mo M = 4.00 Mo M = 4.50 Mo M = 5.00 Mo M = 5.50 Mo
M = 6.00 Mo M = 6.50 Mo

Download all tracks (as a single .tar.gz file)

UBVRIJKL bands ACS HST bands
Stroemgren bands Sloan bands
Walraven bands WFC2 HST bands
WFC3 HST bands WFC3-IR HST bands

TABLE by PIETRINFERNI A. - CASSISI S. - SALARIS M. - CASTELLI F. - 2013 standard scaled-solar Z= 0.00001 Y= 0.2450
ZAMS end central H Tip RGB ZAHB end central He first THERMAL PULSE
M log(L) log(Te) Mcc Mc_He t_Hb log(L) log(Te) He_sur Age Mc_He Mcc Mc_He Mc_CO t_Heb Mc_CO Mc_He log(L) log(Te) Age
0.7500 -0.3552 3.7733 0.0943 0.1137 15106.89 3.2087 3.6497 0.2490 15729.35 0.5178 0.1384 0.5178 0.1987 79.96 0.4854 0.5180 3.2048 3.6517 15840.58
0.8000 -0.1975 3.7950 0.0149 0.1205 11858.19 3.2065 3.6482 0.2500 12434.73 0.5166 0.1397 0.5166 0.1714 75.40 0.4862 0.5211 3.1668 3.6524 12539.76
0.9000 0.0388 3.8270 0.0199 0.1284 7716.11 3.1982 3.6504 0.2540 8131.96 0.5139 0.1407 0.5139 0.1804 72.73 0.4927 0.5234 3.3417 3.6423 8231.00
1.0000 0.2443 3.8585 0.0302 0.1387 5300.28 3.1831 3.6543 0.2580 5593.45 0.5103 0.1399 0.5127 0.1677 70.02 0.5007 0.5316 3.3061 3.6480 5687.40
1.1000 0.4140 3.8936 0.0578 0.1483 3812.66 3.1615 3.6587 0.2610 4010.55 0.5056 0.1395 0.5182 0.1811 69.49 0.5066 0.5350 3.4242 3.6436 4102.36
1.2000 0.5829 3.9314 0.0993 0.1570 2818.56 3.1306 3.6633 0.2650 2973.79 0.4993 0.1319 0.5245 0.1858 72.01 0.5135 0.5406 3.4356 3.6465 3065.33
1.3000 0.7421 3.9662 0.0628 0.1649 2109.08 3.0651 3.6694 0.2670 2270.17 0.4873 0.1309 0.5275 0.1896 74.19 0.5161 0.5430 3.4305 3.6498 2362.00
1.4000 0.8681 3.9964 0.0822 0.1720 1669.23 2.8711 3.6818 0.2690 1775.98 0.4548 0.1168 0.5200 0.2276 86.84 0.5086 0.5390 3.3648 3.6577 1877.62
1.5000 0.9920 4.0243 0.0955 0.1843 1329.57 2.7536 3.6895 0.2720 1403.92 0.4217 0.1018 0.5198 0.1740 101.78 0.5060 0.5363 3.3337 3.6616 1531.31
1.6000 1.1056 4.0500 0.1114 0.1903 1079.85 2.7023 3.6940 0.2730 1142.10 0.4016 0.0919 0.5260 0.2152 110.65 0.5135 0.5427 3.3438 3.6635 1274.70
1.7000 1.2111 4.0737 0.1306 0.2022 891.37 2.5954 3.7009 0.2740 943.45 0.3817 0.0847 0.5368 0.2249 118.82 0.5262 0.5523 3.3820 3.6654 1081.45
1.8000 1.3086 4.0955 0.1525 0.2141 747.85 2.4592 3.7084 0.2740 790.14 0.3604 0.0731 0.5486 0.1822 128.29 0.5401 0.5654 3.4793 3.6603 934.27
1.9000 1.4019 4.1160 0.1725 0.2184 632.20 2.2921 3.7163 0.2640 669.61 0.3392 0.0661 0.5632 0.2252 135.08 0.5571 0.5787 3.4949 3.6605 817.10
2.0000 1.4854 4.1349 0.2012 0.2299 544.37 2.1666 3.7235 0.2500 574.05 0.3359 0.0901 0.6132 0.2153 100.46 0.6174 0.6326 3.7521 3.6457 684.56
2.2000 1.6423 4.1694 0.2479 0.2479 412.18 2.1112 3.7334 0.2450 431.85 0.3447 0.1123 0.6541 0.2293 88.06 0.6174 0.6326 3.7521 3.6457 684.56
2.4000 1.7840 4.1997 0.2930 0.2634 319.89 2.2532 3.7969 0.0000 340.69 0.3568 0.0935 0.6897 0.2387 76.33 0.6174 0.6326 3.7521 3.6457 684.56
2.6000 1.9100 4.2263 0.3736 0.2833 258.07 2.3744 3.9303 0.0000 274.14 0.3697 0.0872 0.7279 0.2503 66.44 0.6174 0.6326 3.7521 3.6457 684.56
2.8000 2.0237 4.2499 0.4360 0.3049 215.08 2.4783 4.0000 0.0000 227.14 0.3885 0.0830 0.7631 0.2670 58.06 0.6174 0.6326 3.7521 3.6457 684.56

M Stellar mass (solar units)
L Surface luminosity (solar units)
Te Effective temperature (Kelvin)
Mcc Mass of convective core (solar units)
Mc_He Mass of He-core (solar units)
t_Hb Central H-burning lifetime (10^6 year)
Age Structure age (10^6 year)
He_sur Surface He mass fraction
Mc_CO Mass of CO-core (solar units)
t_Heb Central He-burning lifetime (10^6 year)

See table in ASCII format


TABLE by PIETRINFERNI A. - CASSISI S. - SALARIS M. - CASTELLI F. - 2013 standard scaled-solar Z= 0.0000 Y= 0.2450
ZAMS end central H ZAHB end central He second dr. up first THERMAL PULSE
M log(L) log(Te) Mcc Mc_He t_Hb Mc_He Mcc Mc_He Mc_CO t_Heb Mc_CO log(L) Mc_CO Mc_He log(L) log(Te) Age
3.0000 2.1268 4.2705 0.5218 0.3355 183.28 0.4102 0.0835 0.8027 0.2814 50.00 no dredge up - ------ ------ ------ ------
3.5000 2.3599 4.3130 0.7362 0.3883 131.65 0.4791 0.0994 0.9040 0.3756 33.79 0.7862 4.1659 0.8043 0.8095 4.0110 3.6531 173.10
4.0000 2.5698 4.3466 0.8891 0.4462 92.61 0.5508 0.1191 1.0207 0.4987 24.00 0.8044 4.1856 0.8218 0.8266 4.0402 3.6576 129.55
4.5000 2.7255 4.3743 1.1162 0.5050 78.48 0.6199 0.1395 1.1333 0.5173 17.29 0.8263 4.2092 0.8434 0.8474 4.1056 3.6581 100.62
5.0000 2.8694 4.3993 1.3300 0.5777 65.34 0.6906 0.1570 1.2563 0.5623 13.10 0.8531 4.2342 0.8691 0.8725 4.1344 3.6596 80.74
5.5000 3.0023 4.4199 1.5295 0.6391 54.49 0.7699 0.1778 1.3894 0.6355 10.48 0.8934 4.2744 0.9023 0.9051 4.1701 3.6610 66.66
6.0000 3.1225 4.4381 1.7260 0.7076 46.33 0.8443 0.2005 1.5158 0.6659 8.33 0.9246 4.2961 0.9340 0.9364 4.2033 3.6633 55.99
6.5000 3.2320 4.4546 1.9263 0.8020 40.12 0.9211 0.2248 1.6526 0.7250 6.88 no dredge up ---- CARBON IGNITION ----

M Stellar mass (solar units)
L Surface luminosity (solar units)
Te Effective temperature (Kelvin)
Mcc Mass of convective core (solar units)
Mc_He Mass of He-core (solar units)
t_Hb Central H-burning lifetime (10^6 year)
Mc_CO Mass of CO-core (solar units)
t_Heb Central He-burning lifetime (10^6 year)
Age Structure age (10^6 year)

See table in ASCII format


Click to enlarge Click to enlarge


Y=0.245, Z = 0.00001 - HB models (Mass of the RGB progenitor: M=0.80 Mo)

M = 0.5170 Mo M = 0.5175 Mo M = 0.5180 Mo M = 0.5200 Mo M = 0.5250 Mo
M = 0.5300 Mo M = 0.5350 Mo M = 0.5400 Mo M = 0.5450 Mo M = 0.5500 Mo
M = 0.5600 Mo M = 0.5700 Mo M = 0.5800 Mo M = 0.5900 Mo M = 0.6000 Mo
M = 0.6100 Mo M = 0.6200 Mo M = 0.6300 Mo M = 0.6400 Mo M = 0.6500 Mo
M = 0.6600 Mo M = 0.6800 Mo M = 0.7000 Mo M = 0.7500 Mo M = 0.8000 Mo
M = 0.8500 Mo M = 0.9000 Mo M = 0.9500 Mo

Download all HB tracks (as a single .tar.gz file)

UBVRIJKL bands
ACS HST bands
Stroemgren bands
Sloan bands
Walraven bands
WFC2 HST bands
WFC3 HST bands
WFC3-IR HST bands

The "ZAHB" locus

UBVRIJKL bands
ACS HST bands
Stroemgren bands
Sloan bands
Walraven bands
WFC2 HST bands
WFC3 HST bands
WFC3-IR HST bands

"End of the core He burning" locus

UBVRIJKL bands
ACS HST bands
Stroemgren bands
Sloan bands
Walraven bands
WFC2 HST bands
WFC3 HST bands
WFC3-IR HST bands

Click to enlarge


Download all isochrones (as a single .tar.gz file)

Y=0.245, Z = 0.00001 - Isochrones (Age: 30 - 14000 Myr)

UBVRIJKL bands ACS HST bands
Stroemgren bands Sloan bands
Walraven bands WFC2 HST bands
WFC3 HST bands WFC3-IR HST bands


List of metallicities