You are now in: BASTI Home / Scaled Solar Models / Canonical Models / List of metallicities / Z=0.0006


Y= 0.246, Z = 0.0006 - Evolutionary models

M = 0.50 Mo M = 0.55 Mo M = 0.60 Mo M = 0.70 Mo M = 0.75 Mo
M = 0.80 Mo M = 0.90 Mo M = 1.00 Mo M = 1.10 Mo M = 1.20 Mo
M = 1.30 Mo M = 1.40 Mo M = 1.50 Mo M = 1.60 Mo M = 1.70 Mo
M = 1.80 Mo M = 1.90 Mo M = 2.00 Mo M = 2.20 Mo M = 2.30 Mo
M = 2.40 Mo M = 2.60 Mo M = 2.80 Mo M = 3.00 Mo M = 3.50 Mo
M = 4.00 Mo M = 4.50 Mo M = 5.00 Mo M = 5.50 Mo M = 6.00 Mo
M = 6.50 Mo M = 7.00 Mo M = 7.50 Mo M = 8.00 Mo M = 8.50 Mo
M = 9.00 Mo M = 9.50 Mo M = 10.00 Mo

Download all tracks (as a single .tar.gz file)

UBVRIJKL bands ACS HST bands
Stroemgren bands Sloan bands
Walraven bands WFC2 HST bands
WFC3 HST bands WFC3-IR HST bands

TABLE by PIETRINFERNI A. - CASSISI S. - SALARIS M. - CASTELLI F. - 2007 standard scaled-solar Z= .0006 Y= .2460
ZAMS end central H Tip RGB ZAHB end central He first THERMAL PULSE
M log(L) log(Te) Mcc Mc_He t_Hb log(L) log(Te) He_sur Age Mc_He Mcc Mc_He Mc_CO t_Heb Mc_CO Mc_He log(L) log(Te) Age
.7500 -.3633 3.7648 .0718 .1018 15593.65 3.3540 3.6128 .2560 16590.16 .4951 .1284 .4951 .1906 97.94 .4626 .5034 3.2245 3.6400 16743.05
.8000 -.2334 3.7828 .0740 .1049 12293.22 3.3532 3.6071 .2580 13095.81 .4940 .1279 .4987 .1911 90.62 .4777 .5138 3.2963 3.6185 13237.20
.9000 .0025 3.8130 .0808 .1142 7966.15 3.3493 3.6100 .2620 8543.36 .4918 .1264 .5122 .2047 86.66 .4959 .5292 3.4107 3.6087 8676.47
1.0000 .2228 3.8451 .0245 .1189 5340.84 3.3421 3.6150 .2650 5811.13 .4895 .1269 .5205 .2080 83.21 .5031 .5348 3.4049 3.6109 5935.49
1.1000 .4043 3.8775 .0381 .1308 3807.31 3.3349 3.6200 .2670 4155.12 .4876 .1253 .5261 .1768 83.42 .5105 .5401 3.3985 3.6163 4276.60
1.2000 .5665 3.9144 .0522 .1379 2805.40 3.3273 3.6245 .2680 3077.92 .4857 .1245 .5317 .2110 82.30 .5186 .5477 3.4989 3.6121 3195.50
1.3000 .7160 3.9485 .0647 .1443 2119.70 3.3174 3.6293 .2680 2349.64 .4837 .1217 .5378 .1795 83.34 .5244 .5517 3.4879 3.6172 2463.66
1.4000 .8497 3.9795 .0800 .1554 1642.78 3.3110 3.6333 .2680 1837.04 .4824 .1227 .5450 .1832 82.29 .5338 .5599 3.5522 3.6156 1948.49
1.5000 .9744 4.0076 .0997 .1605 1293.53 3.3061 3.6370 .2660 1469.90 .4815 .1234 .5505 .1838 80.41 .5391 .5645 3.5514 3.6192 1577.90
1.6000 1.0881 4.0332 .1261 .1712 1041.29 3.2992 3.6404 .2650 1195.32 .4803 .1205 .5578 .2352 80.68 .5494 .5731 3.5967 3.6187 1301.38
1.7000 1.1923 4.0565 .1575 .1819 855.11 3.2891 3.6437 .2640 990.16 .4786 .1219 .5665 .2218 79.16 .5584 .5814 3.6248 3.6199 1092.97
1.8000 1.2887 4.0777 .1951 .1871 721.82 3.2735 3.6472 .2630 833.34 .4758 .1241 .5747 .1906 76.76 .5669 .5885 3.6240 3.6230 933.04
1.9000 1.3781 4.0968 .2382 .2003 620.31 3.2397 3.6517 .2620 710.37 .4714 .1229 .5842 .2128 77.15 .5782 .5982 3.6735 3.6217 808.21
2.0000 1.4611 4.1138 .2824 .2084 542.31 3.1664 3.6587 .2610 612.01 .4573 .1155 .5913 .2256 80.75 .5859 .6049 3.7116 3.6214 710.69
2.1000 1.5389 4.1296 .3319 .2225 479.80 2.9054 3.6767 .2600 533.34 .4187 .0988 .5896 .2380 96.82 .5839 .6035 3.6975 3.6251 643.89
2.2000 1.6113 4.1435 .3783 .2302 429.22 2.3746 3.7066 .2590 454.48 .3343 .0434 .5927 .2478 141.79 .5878 .6070 3.7215 3.6250 610.77
2.3000 1.6801 4.1565 .4274 .2459 386.28 2.2685 3.7132 .2560 405.69 .3310 .0704 .6097 .1989 129.89 .6054 .6227 3.7653 3.6241 547.57
2.4000 1.7507 4.1677 .4531 .2531 348.80 2.2552 3.7155 .2530 365.13 .3385 .0741 .6340 .2117 116.41 .6321 .6458 3.7707 3.6256 490.77
2.6000 1.8773 4.1904 .5338 .2757 288.34 2.3055 3.7165 .2490 299.59 .3601 .0846 .6796 .2464 90.86 .6804 .6919 3.8956 3.6202 397.01
2.8000 1.9928 4.2092 .6064 .2969 242.71 2.3774 3.7164 .2470 251.78 .3833 .0856 .7249 .2466 72.73 .7175 .7295 4.0008 3.6162 329.42

M Stellar mass (solar units)
L Surface luminosity (solar units)
Te Effective temperature (Kelvin)
Mcc Mass of convective core (solar units)
Mc_He Mass of He-core (solar units)
t_Hb Central H-burning lifetime (10^6 year)
Age Structure age (10^6 year)
He_sur Surface He mass fraction
Mc_CO Mass of CO-core (solar units)
t_Heb Central He-burning lifetime (10^6 year)

See table in ASCII format

TABLE by PIETRINFERNI A. - CASSISI S. - SALARIS M. - CASTELLI F. - 2007 standard scaled-solar Z= .0006 Y= .2460
ZAMS end central H ZAHB end central He second dr. up first THERMAL PULSE
M log(L) log(Te) Mcc Mc_He t_Hb Mc_He Mcc Mc_He Mc_CO t_Heb Mc_CO log(L) Mc_CO Mc_He log(L) log(Te) Age
3.0000 2.0979 4.2272 .6930 .3230 207.64 .4080 .0901 .7730 .2645 59.35 no dredge up .7665 .7731 4.0299 3.6172 277.84
3.5000 2.3292 4.2643 .8637 .3814 147.33 .4715 .1138 .8920 .3094 37.71 .7809 4.1606 .7997 .8051 4.0853 3.6221 191.78
4.0000 2.5257 4.2936 1.0376 .4676 113.59 .5441 .1324 1.0088 .4793 25.80 .8090 4.2116 .8204 .8252 4.1592 3.6247 143.10
4.5000 2.6973 4.3207 1.2109 .5229 87.08 .6240 .1548 1.1393 .5185 18.57 .8387 4.2511 .8466 .8506 4.2026 3.6288 108.41
5.0000 2.8486 4.3439 1.3950 .5946 69.23 .6966 .1808 1.2714 .5717 14.08 .8618 4.2687 .8710 .8745 4.2561 3.6314 85.33
5.5000 2.9836 4.3646 1.5936 .6644 56.67 .7699 .2025 1.4068 .6292 11.09 .8915 4.2894 .9028 .9055 4.3102 3.6327 69.29
6.0000 3.1055 4.3827 1.7789 .7311 47.47 .8503 .2285 1.5459 .6894 8.99 .9332 4.3280 .9438 .9457 4.4163 3.6302 57.68
6.5000 3.2164 4.4002 1.9629 .8051 40.57 .9356 .2536 1.6862 .7662 7.40 no dredge up ---- CARBON IGNITION ----
7.0000 3.3180 4.4151 2.1526 .8807 35.24 1.0197 .2948 1.8292 .8472 6.18 no dredge up ---- CARBON IGNITION ----
7.5000 3.4117 4.4286 2.3691 .9662 31.03 1.1146 .3177 1.9812 .9142 5.28 no dredge up ---- CARBON IGNITION ----
8.0000 3.4985 4.4415 2.5741 1.0509 27.65 1.2150 .3403 2.1230 1.0065 4.67 no dredge up ---- CARBON IGNITION ----
8.5000 3.5793 4.4532 2.8153 1.1635 24.89 1.3056 .3929 2.2793 1.0699 4.13 no dredge up ---- CARBON IGNITION ----
9.0000 3.6549 4.4650 3.0351 1.2684 22.62 1.4089 .4275 2.4520 1.1859 3.76 no dredge up ---- CARBON IGNITION ----
9.5000 3.7257 4.4752 3.2293 1.3835 20.70 1.5248 .4889 2.6042 1.2627 3.36 no dredge up ---- CARBON IGNITION ----
10.0000 3.7923 4.4848 3.4642 1.5118 19.07 1.6311 .5244 2.7570 1.3378 3.08 no dredge up ---- CARBON IGNITION ----

M Stellar mass (solar units)
L Surface luminosity (solar units)
Te Effective temperature (Kelvin)
Mcc Mass of convective core (solar units)
Mc_He Mass of He-core (solar units)
t_Hb Central H-burning lifetime (10^6 year)
Mc_CO Mass of CO-core (solar units)
t_Heb Central He-burning lifetime (10^6 year)
Age Structure age (10^6 year)

See table in ASCII format

Click to enlarge Click to enlarge


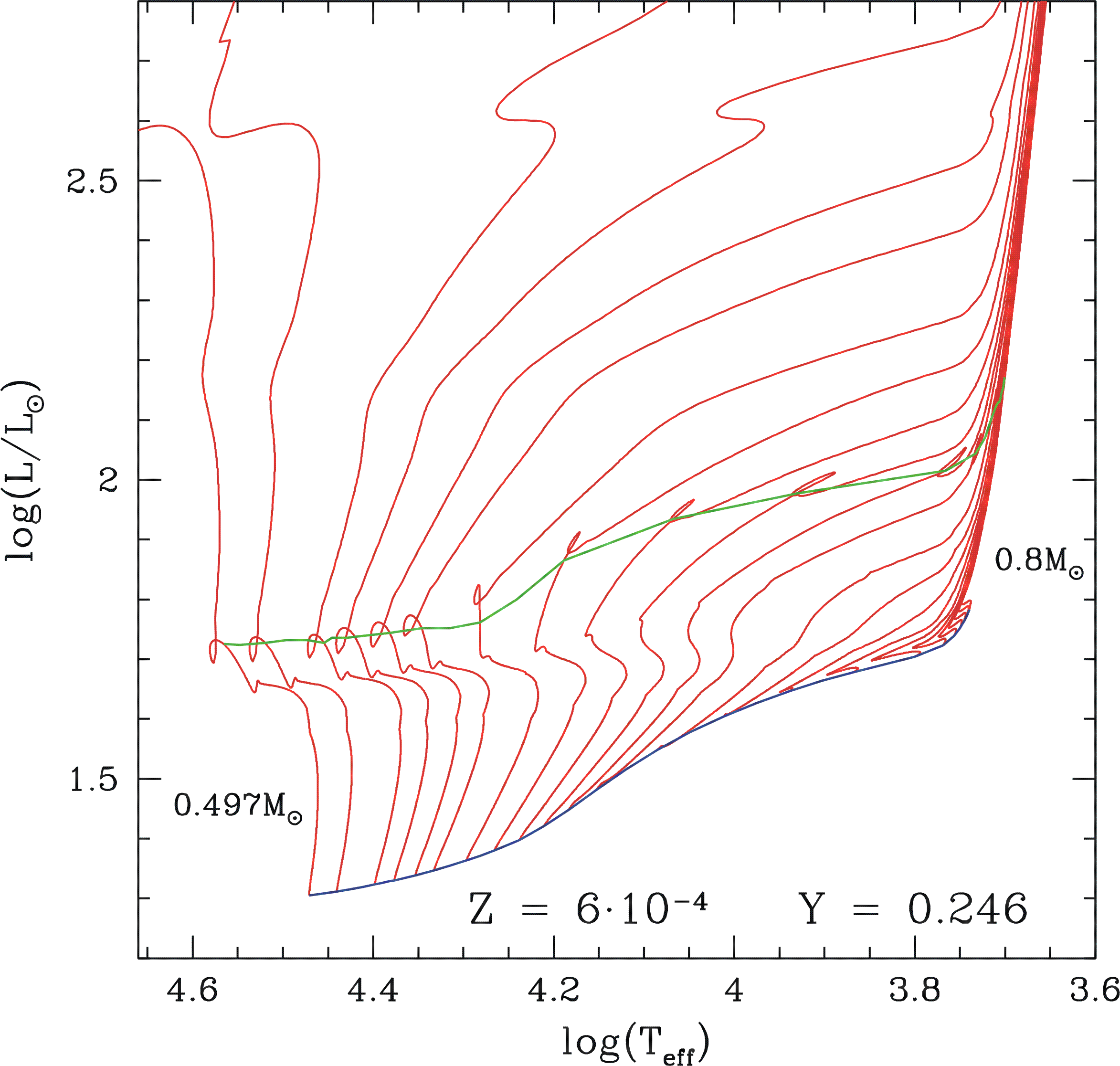
Y=0.246, Z = 0.0006 - HB models (Mass of the RGB progenitor: M=0.80 Mo)

M = 0.4970 Mo M = 0.4980 Mo M = 0.5000 Mo M = 0.5020 Mo M = 0.5040 Mo
M = 0.5060 Mo M = 0.5070 Mo M = 0.5090 Mo M = 0.5100 Mo M = 0.5150 Mo
M = 0.5200 Mo M = 0.5250 Mo M = 0.5300 Mo M = 0.5350 Mo M = 0.5400 Mo
M = 0.5500 Mo M = 0.5600 Mo M = 0.5700 Mo M = 0.5800 Mo M = 0.5900 Mo
M = 0.6000 Mo M = 0.6100 Mo M = 0.6200 Mo M = 0.6300 Mo M = 0.6400 Mo
M = 0.6500 Mo M = 0.6600 Mo M = 0.6800 Mo M = 0.7000 Mo M = 0.7200 Mo
M = 0.7400 Mo M = 0.7600 Mo M = 0.7800 Mo M = 0.8000 Mo

Download all HB tracks (as a single .tar.gz file)

UBVRIJKL bands
ACS HST bands
Stroemgren bands
Sloan bands
Walraven bands
WFC2 HST bands
WFC3 HST bands
WFC3-IR HST bands

The "ZAHB" locus

UBVRIJKL bands
ACS HST bands
Stroemgren bands
Sloan bands
Walraven bands
WFC2 HST bands
WFC3 HST bands
WFC3-IR HST bands

"End of the core He burning" locus

UBVRIJKL bands
ACS HST bands
Stroemgren bands
Sloan bands
Walraven bands
WFC2 HST bands
WFC3 HST bands
WFC3-IR HST bands

Click to enlarge


Download all isochrones (as a single .tar.gz file)

Y=0.246, Z = 0.0006 - Isochrones (Age: 30 - 14000 Myr)

UBVRIJKL bands ACS HST bands
Stroemgren bands Sloan bands
Walraven bands WFC2 HST bands
WFC3 HST bands WFC3-IR HST bands


List of metallicities