You are now in: BASTI Home / Scaled Solar Models / Canonical Models / List of metallicities / Z=0.03


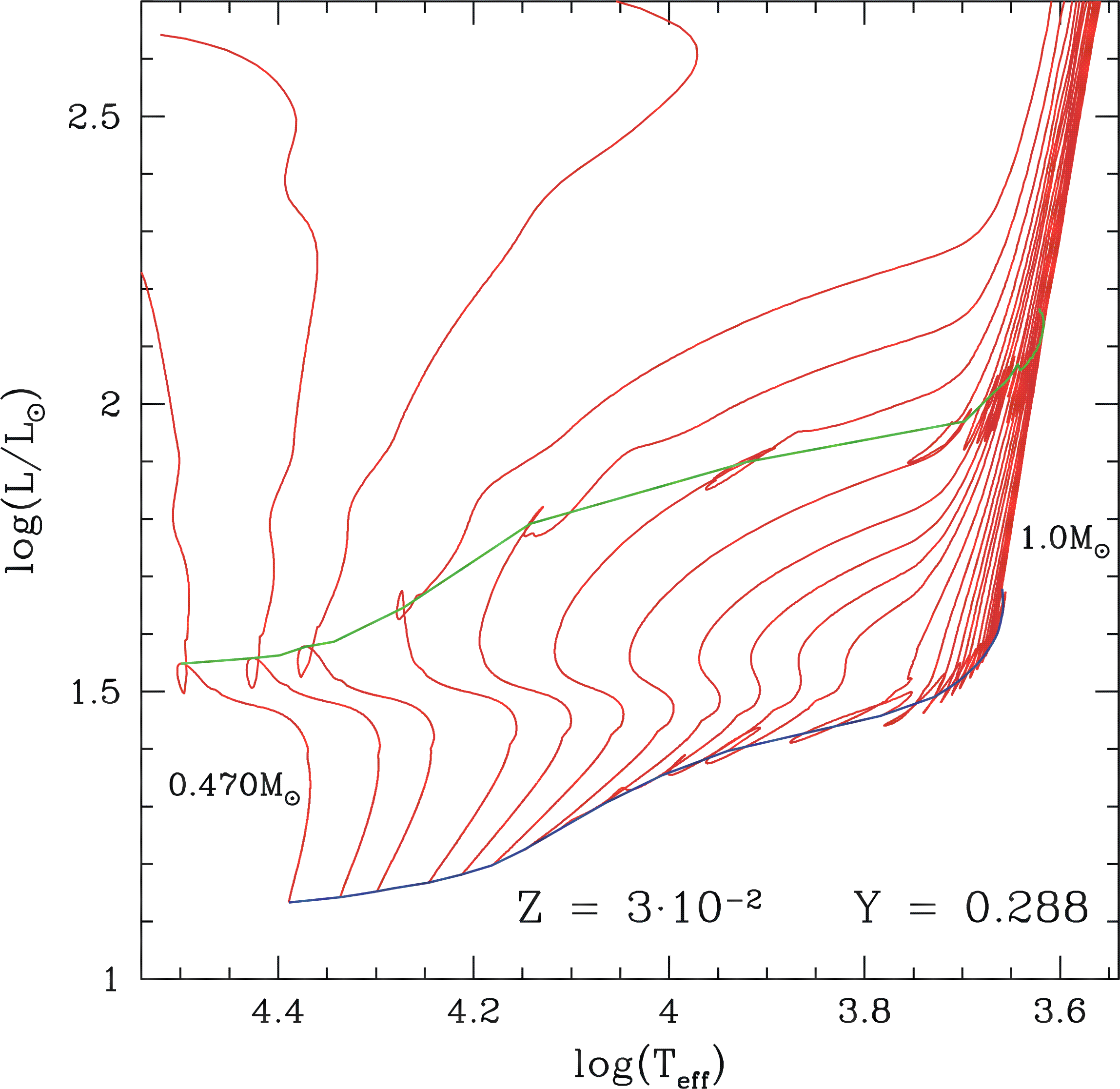
Y= 0.288, Z = 0.03 - Evolutionary models

M = 0.50 Mo M = 0.55 Mo M = 0.60 Mo M = 0.70 Mo M = 0.80 Mo
M = 0.90 Mo M = 1.00 Mo M = 1.10 Mo M = 1.20 Mo M = 1.30 Mo
M = 1.40 Mo M = 1.50 Mo M = 1.60 Mo M = 1.70 Mo M = 1.80 Mo
M = 1.90 Mo M = 2.00 Mo M = 2.10 Mo M = 2.20 Mo M = 2.30 Mo
M = 2.40 Mo M = 2.50 Mo M = 2.60 Mo M = 2.80 Mo M = 3.00 Mo
M = 3.50 Mo M = 4.00 Mo M = 4.50 Mo M = 5.00 Mo M = 5.50 Mo
M = 6.00 Mo M = 6.50 Mo M = 7.00 Mo M = 7.50 Mo M = 8.00 Mo
M = 8.50 Mo M = 9.00 Mo M = 9.50 Mo M = 10.0 Mo

Download all tracks (as a single .tar.gz file)

UBVRIJKL bands ACS HST bands
Stroemgren bands Sloan bands
Walraven bands WFC2 HST bands
WFC3 HST bands WFC3-IR HST bands

TABLE by PIETRINFERNI A. - CASSISI S. - SALARIS M. - CASTELLI F. - 2007 standard scaled-solar Z= .0300 Y= .2880
ZAMS end central H Tip RGB ZAHB end central He first THERMAL PULSE
M log(L) log(Te) Mcc Mc_He t_Hb log(L) log(Te) He_sur Age Mc_He Mcc Mc_He Mc_CO t_Heb Mc_CO Mc_He log(L) log(Te) Age
.9000 -.4307 3.7074 .0000 .0856 18846.77 3.4422 3.4510 .3090 20486.38 .4681 .1054 .4870 .1761 109.86 .4765 .5098 3.3312 3.5153 20747.14
1.0000 -.2286 3.7361 .0000 .0881 12493.30 3.4468 3.4536 .3110 13814.36 .4675 .1060 .4951 .1795 107.24 .4898 .5192 3.3895 3.4721 14060.40
1.1000 -.0212 3.7613 .0000 .0955 8488.25 3.4488 3.4676 .3100 9621.23 .4670 .1054 .4990 .1859 104.94 .4930 .5231 3.4749 3.4671 9843.74
1.2000 .1628 3.7810 .0000 .0977 5891.21 3.4498 3.4782 .3090 6902.83 .4669 .1054 .5017 .1865 103.48 .4970 .5247 3.4587 3.4799 7112.51
1.3000 .3375 3.7999 .0197 .1083 4176.37 3.4512 3.4875 .3070 5084.10 .4670 .1053 .5053 .1797 104.12 .4993 .5267 3.4626 3.4878 5287.94
1.4000 .4962 3.8174 .0638 .1098 2881.84 3.4513 3.4950 .3040 3850.45 .4671 .1058 .5065 .1968 103.25 .4986 .5278 3.4819 3.4925 4045.34
1.5000 .6353 3.8343 .1070 .1317 2210.81 3.4515 3.5025 .3020 2992.64 .4672 .1055 .5081 .1961 102.51 .5003 .5288 3.4891 3.4993 3177.90
1.6000 .7510 3.8534 .1356 .1377 1866.12 3.4498 3.5083 .3000 2370.27 .4671 .1047 .5097 .1935 102.44 .5035 .5310 3.4656 3.5073 2544.52
1.7000 .8628 3.8756 .1738 .1507 1567.94 3.4465 3.5139 .2990 1904.09 .4665 .1051 .5112 .1948 101.74 .5045 .5318 3.4617 3.5118 2071.61
1.8000 .9665 3.8966 .2053 .1651 1329.96 3.4383 3.5190 .2980 1555.05 .4650 .1048 .5119 .1916 101.91 .5042 .5320 3.4765 3.5190 1715.76
1.9000 1.0649 3.9156 .2532 .1840 1130.27 3.4043 3.5270 .2970 1289.29 .4588 .1029 .5085 .1877 105.79 .5016 .5294 3.4488 3.5248 1449.95
2.0000 1.0333 3.8725 .2905 .1960 1003.99 3.3546 3.5372 .2960 1085.64 .4498 .1002 .5031 .1849 110.99 .4966 .5253 3.4264 3.5310 1251.21
2.1000 1.2413 3.9496 .3136 .2026 855.07 3.2738 3.5502 .2970 932.38 .4358 .0959 .4969 .1886 122.74 .4916 .5209 3.4146 3.5367 1103.55
2.2000 1.3230 3.9650 .3288 .2158 749.14 3.1458 3.5661 .2970 807.91 .4157 .0890 .4847 .1876 138.78 .4825 .5134 3.3792 3.5446 990.77
2.3000 1.4008 3.9794 .3552 .2284 660.74 2.9622 3.5858 .2980 728.28 .3914 .0790 .4726 .1797 163.29 .4694 .5028 3.3204 3.5543 911.45
2.4000 1.4750 3.9929 .3903 .2393 583.00 2.3387 3.6399 .2990 616.07 .3258 .0259 .4539 .1921 271.20 .4527 .4905 3.1766 3.5707 922.93
2.5000 1.5459 4.0060 .4107 .2482 523.78 2.4106 3.6371 .3000 548.83 .3321 .0879 .4590 .1908 248.52 .4667 .5005 3.3140 3.5603 830.07
2.6000 1.6136 4.0183 .4456 .2576 466.18 2.4240 3.6386 .3000 490.09 .3392 .0829 .4659 .1670 222.70 .4663 .5008 3.2568 3.5682 741.77
2.8000 1.7410 4.0414 .5004 .2855 378.65 2.4418 3.6420 .3020 397.19 .3560 .0680 .4859 .1740 178.29 .4819 .5143 3.4195 3.5575 597.84

M Stellar mass (solar units)
L Surface luminosity (solar units)
Te Effective temperature (Kelvin)
Mcc Mass of convective core (solar units)
Mc_He Mass of He-core (solar units)
t_Hb Central H-burning lifetime (10^6 year)
Age Structure age (10^6 year)
He_sur Surface He mass fraction
Mc_CO Mass of CO-core (solar units)
t_Heb Central He-burning lifetime (10^6 year)

See table in ASCII format

TABLE by PIETRINFERNI A. - CASSISI S. - SALARIS M. - CASTELLI F. - 2007 standard scaled-solar Z= .0300 Y= .2880
ZAMS end central H ZAHB end central He second dr. up first THERMAL PULSE
M log(L) log(Te) Mcc Mc_He t_Hb Mc_He Mcc Mc_He Mc_CO t_Heb Mc_CO log(L) Mc_CO Mc_He log(L) log(Te) Age
3.0000 1.8586 4.0626 .5629 .3096 313.60 .3781 .0763 .5116 .1997 143.45 no dredge up .5065 .5335 3.4907 3.5555 487.88
3.5000 2.1191 4.1092 .6991 .3653 206.97 .4402 .0982 .5908 .1757 80.84 no dredge up .5890 .6060 3.7763 3.5365 305.38
4.0000 2.3395 4.1497 .8677 .4313 141.92 .5086 .1181 .6857 .2616 48.51 no dredge up .6829 .6935 4.0240 3.5199 200.87
4.5000 2.5329 4.1840 1.0317 .4956 103.92 .5778 .1447 .8006 .3496 31.57 .7234 4.0601 .7648 .7712 4.1775 3.5129 142.48
5.0000 2.7029 4.2139 1.1842 .5601 79.25 .6474 .1752 .9264 .4138 22.72 .7606 4.1439 .7891 .7945 4.2181 3.5177 106.81
5.5000 2.8563 4.2400 1.2202 .6195 62.65 .7209 .2010 1.0555 .4584 16.91 .7929 4.2072 .8140 .8186 4.2532 3.5220 82.36
6.0000 2.9928 4.2637 1.3909 .6941 50.70 .7966 .2195 1.1863 .5046 13.10 .8276 4.2555 .8413 .8451 4.3216 3.5227 66.01
6.5000 3.1163 4.2851 1.5430 .7662 42.18 .8756 .2482 1.3161 .5609 10.34 .8549 4.2812 .8667 .8700 4.3465 3.5261 54.21
7.0000 3.2291 4.3045 1.7243 .8252 35.75 .9612 .2705 1.4524 .6152 8.43 .8936 4.3389 .9022 .9048 4.4600 3.5217 45.50
7.5000 3.3325 4.3222 1.9208 .9257 30.85 1.0479 .3103 1.5951 .6642 7.00 .9335 4.3771 .9417 .9436 4.6191 3.5096 38.89
8.0000 3.4279 4.3384 2.1230 .9999 26.97 1.1416 .3312 1.7401 .7463 5.95 .9628 4.3156 ---- CARBON IGNITION ----
8.5000 3.5167 4.3533 2.3257 1.0969 23.92 1.2461 .3584 1.9047 .8808 5.25 1.0361 4.1526 ---- CARBON IGNITION ----
9.0000 3.5995 4.3671 2.5337 1.2179 21.38 1.3557 .3998 2.0536 .9642 4.54 1.1041 4.3031 ---- CARBON IGNITION ----
9.5000 3.6766 4.3799 2.7578 1.3236 19.33 1.4681 .4518 2.2028 1.0628 4.02 no dredge up ---- CARBON IGNITION ----
10.0000 3.7492 4.3919 2.9809 1.4394 17.60 1.5850 .5064 2.3723 1.2189 3.78 no dredge up ---- CARBON IGNITION ----

M Stellar mass (solar units)
L Surface luminosity (solar units)
Te Effective temperature (Kelvin)
Mcc Mass of convective core (solar units)
Mc_He Mass of He-core (solar units)
t_Hb Central H-burning lifetime (10^6 year)
Mc_CO Mass of CO-core (solar units)
t_Heb Central He-burning lifetime (10^6 year)
Age Structure age (10^6 year)

See table in ASCII format

Click to enlarge Click to enlarge


Y=0.288, Z = 0.03 - HB models (Mass of the RGB progenitor: M=1.0 Mo)

M = 0.4700 Mo M = 0.4720 Mo M = 0.4740 Mo M = 0.4760 Mo M = 0.4780 Mo
M = 0.4800 Mo M = 0.4850 Mo M = 0.4900 Mo M = 0.4950 Mo M = 0.5000 Mo
M = 0.5050 Mo M = 0.5100 Mo M = 0.5150 Mo M = 0.5200 Mo M = 0.5300 Mo
M = 0.5400 Mo M = 0.5500 Mo M = 0.5600 Mo M = 0.5700 Mo M = 0.5800 Mo
M = 0.5900 Mo M = 0.6000 Mo M = 0.6200 Mo M = 0.6400 Mo M = 0.6600 Mo
M = 0.6800 Mo M = 0.7000 Mo M = 0.7200 Mo M = 0.7400 Mo M = 0.7600 Mo
M = 0.7800 Mo M = 0.8000 Mo M = 0.8500 Mo M = 0.9000 Mo M = 0.9500 Mo
M = 1.0000 Mo

Download all HB tracks (as a single .tar.gz file)

UBVRIJKL bands
ACS HST bands
Stroemgren bands
Sloann bands
Walraven bands
WFC2 HST bands
WFC3 HST bands
WFC3-IR HST bands

The "ZAHB" locus

UBVRIJKL bands
ACS HST bands
Stroemgren bands
Sloan bands
Walraven bands
WFC2 HST bands
WFC3 HST bands
WFC3-IR HST bands

"End of the core He burning" locus

UBVRIJKL bands
ACS HST bands
Stroemgren bands
Sloan bands
Walraven bands
WFC2 HST bands
WFC3 HST bands
WFC3-IR HST bands

Click to enlarge

Download all isochrones (as a single .tar.gz file)

Y=0.288, Z = 0.03 - Isochrones (Age: 30 - 14000 Myr)

UBVRIJKL bands ACS HST bands
Stroemgren bands Sloan bands
Walraven bands WFC2 HST bands
WFC3 HST bands WFC3-IR HST bands


List of metallicities